Проекция точки на плоскость
Перейти к навигации
Перейти к поиску
Проекция точки на плоскость — это точка пересечения перпендикуляра из точки на плоскость и плоскости.
Обозначения[править]
- — радиус-вектор проекции точки;
- — радиус-вектор точки;
- — нормаль к плоскости;
- — уравнение плоскости;
- — отклонение точки от плоскости.
Проекции[править]
Векторная форма[править]
- где
Координатная форма[править]
- Заметим, что формулы проекции точки на плоскость аналогичны формулам основания перпендикуляра из точки к плоскости.
Пример[править]
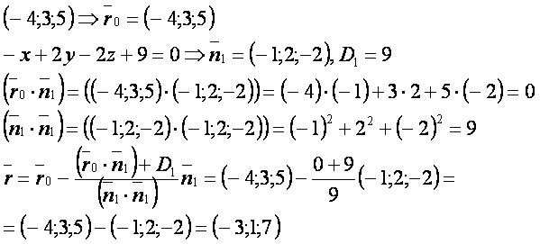
Даны точка и плоскость: и .
Найти проекцию точки на плоскость.
Решение.
Другие проекции:[править]
Другие точки:[править]
- проекция точки на прямую;
- проекция точки на плоскость;
- основание перпендикуляра из точки к прямой;
- основание перпендикуляра из точки к плоскости;
- точка пересечения перпендикуляра к двум прямым с первой прямой;
- точка пересечения перпендикуляра к двум прямым со второй прямой;
- точка пересечения прямой и плоскости;
- точка пересечения трёх плоскостей;
- точка, равноудалённая от двух прямых;
- точка, равноудалённая от четырёх точек;
- точка деления отрезка в данном отношении;
- точка прямой, находящаяся от первой точки прямой до второй в данном отношении;
- точка прямой, находящаяся перед первой точкой прямой до второй в данном отношении;
- точка прямой, находящаяся от первой точки прямой за второй в данном отношении.
