Точка пересечения перпендикуляра к двум прямым со второй прямой
Перейти к навигации
Перейти к поиску
Точка пересечения перпендикуляра к двум прямым со второй прямой — это точка, удовлетворяющая уравнению перпендикуляра к двум прямым и уравнению второй прямой.
Обозначения[править]
- — радиус-вектор точки пересечения;
- — радиус-вектор точки на первой прямой;
- — радиус-вектор точки на второй прямой;
- — направляющий вектор первой прямой;
- — направляющий вектор второй прямой;
- — уравнение первой прямой;
- — уравнение второй прямой.
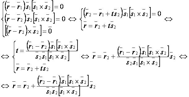
Формулы[править]
Векторная форма[править]
Координатная форма[править]
- Заметим, что формулы верны только для скрещивающихся прямых.
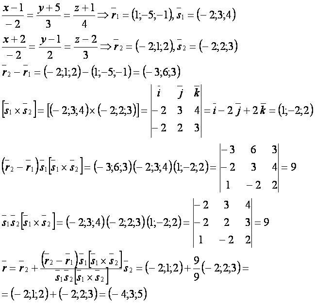
Пример[править]
Даны две скрещивающиеся прямые: и .
Найти точку пересечения перпендикуляра к двум прямым со второй прямой.
Решение.
Другие точки:[править]
- проекция точки на прямую;
- проекция точки на плоскость;
- основание перпендикуляра из точки к прямой;
- основание перпендикуляра из точки к плоскости;
- точка пересечения перпендикуляра к двум прямым с первой прямой;
- точка пересечения перпендикуляра к двум прямым со второй прямой;
- точка пересечения прямой и плоскости;
- точка пересечения трёх плоскостей;
- точка, равноудалённая от двух прямых;
- точка, равноудалённая от четырёх точек;
- точка деления отрезка в данном отношении;
- точка прямой, находящаяся от первой точки прямой до второй в данном отношении;
- точка прямой, находящаяся перед первой точкой прямой до второй в данном отношении;
- точка прямой, находящаяся от первой точки прямой за второй в данном отношении.