Уравнение перпендикуляра к двум прямым
Перейти к навигации
Перейти к поиску
Уравнение перпендикуляра к двум прямым — это уравнение прямой, перпендикулярной к каждой из прямых, задаётся системой равенств нулю смешанных произведений соответствующего вектора-разности радиусов-векторов точек, направляющего вектора и векторного произведения направляющих векторов.
Обозначения[править]
- — радиус-вектор точки перпендикуляра;
- — радиус-вектор точки первой прямой;
- — радиус-вектор точки второй прямой;
- — направляющий вектор первой прямой;
- — направляющий вектор второй прямой;
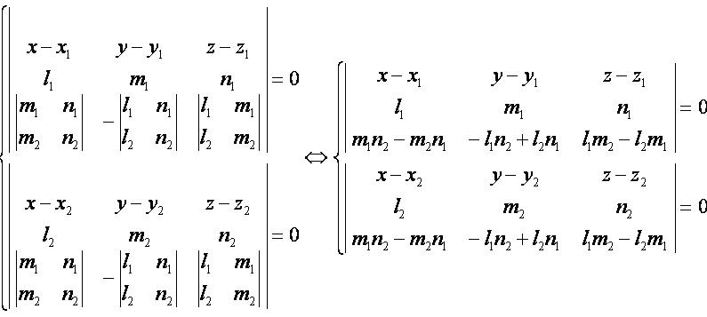
- — уравнение первой прямой;
- Невозможно разобрать выражение (Ошибка преобразования. Сервер («https://wikimedia.org/api/rest_») сообщил: «Cannot get mml. Server problem.»): {\displaystyle {\frac {x-x_{2}}{l_{2}}}={\frac {y-y_{2}}{m_{2}}}={\frac {z-z_{2}}{n_{2}}}} — уравнение второй прямой.
Уравнения прямой[править]
Векторная форма[править]
Координатная форма[править]
- Заметим, что формулы верны только для скрещивающихся прямых.
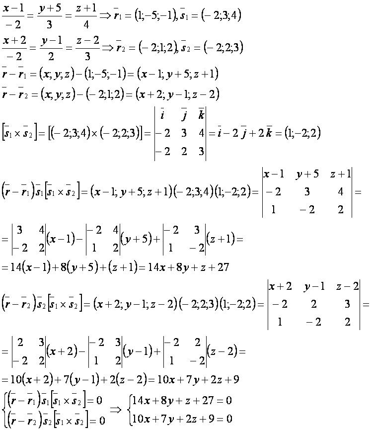
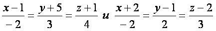
Пример[править]
Найти уравнение перпендикуляра к этим прямым.
Решение.
Другие уравнения:[править]
- общее;
- каноническое;
- параметрическое;
- проходящей через две точки;
- равноудалённой от трёх точек;
- проходящей через точку в направлении вектора;
- проходящей через точку параллельно прямой;
- проходящей через точку перпендикулярно плоскости;
- образованной пересечением двух плоскостей;
- проекции прямой на плоскость;
- перпендикуляра из точки к прямой;
- перпендикуляра из точки к плоскости;
- перпендикуляра к двум прямым.
Литература[править]
- Корн Г., Корн Т. Справочник по математике для научных работников и инженеров — М.: Наука, 1970.
- Выгодский М. Я. Справочник по высшей математике — М.: Наука, 1964, стр.192.