Точка, равноудалённая от четырёх точек в трёхмерном пространстве
(перенаправлено с «Точка, равноудалённая от четырёх точек»)
Перейти к навигации
Перейти к поиску
Точка, равноудалённая от четырёх точек — точка, образованная пересечением трёх равноудалённых плоскостей, для пар одной точки с другими точками (при однозначном определении равноудалённой плоскости для двух точек).
Обозначения[править]
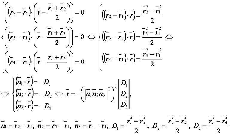
- — радиус-вектор равноудалённой точки;
- — радиус-вектор первой точки;
- — радиус-вектор второй точки;
- — радиус-вектор третьей точки;
- — радиус-вектор четвёртой точки;
- — нормаль к первой плоскости;
- — нормаль ко второй плоскости;
- — нормаль к третьей плоскости;
- — уравнение первой плоскости;
- — уравнение второй плоскости;
- — уравнение третьей плоскости.
Формулы[править]
Векторная форма[править]
Координатная форма[править]
- Равноудалённая точка является центром сферы, проходящей через заданные четыре точки.
Другие точки:[править]
- проекция точки на прямую;
- проекция точки на плоскость;
- основание перпендикуляра из точки к прямой;
- основание перпендикуляра из точки к плоскости;
- точка пересечения перпендикуляра к двум прямым с первой прямой;
- точка пересечения перпендикуляра к двум прямым со второй прямой;
- точка пересечения прямой и плоскости;
- точка пересечения трёх плоскостей;
- точка, равноудалённая от двух прямых;
- точка, равноудалённая от четырёх точек;
- точка деления отрезка в данном отношении;
- точка прямой, находящаяся от первой точки прямой до второй в данном отношении;
- точка прямой, находящаяся перед первой точкой прямой до второй в данном отношении;
- точка прямой, находящаяся от первой точки прямой за второй в данном отношении.