Неравенство средневзвешенных
Перейти к навигации
Перейти к поиску
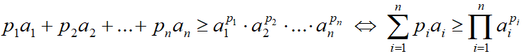
Неравенство средневзвешенных — неравенство, гласящее, что средневзвешенная сумма не меньше средневзвешенного произведения.
Обозначения[править]
- n — число положительных чисел;
- ai — i-ое положительное число;
- pi — i-ый удельный вес, 0<pi<1;
- p1+p2+…+pk=1 — сумма весов для чисел неравенства равна 1.
Формула неравенства[править]
- При pi=1/n для всех i получаем неравенство Коши.
Доказательство[править]
Метод математической индукции для неравенства средневзвешенных
Другие неравенства:[править]
- неравенство n-степени числа;
- неравенство n-факториала и среднего арифметического;
- неравенство n-факториала и среднего квадратического;
- неравенство n-факториала и среднего кубического;
- неравенство n-факториала и n-степени двух;
- неравенство r-степени числа;
- неравенство Бернулли;
- неравенство произведения n факториалов чётных чисел;
- неравенство произведения единицы со степенью числа и степени единицы с числом;
- неравенство произведения отношений нечётных к чётным натуральным числам;
- неравенство произведения n-факториала и двойного факториала нечётного числа;
- неравенство степеней n и n+1 для чисел;
- неравенство степеней n и n+1 для единиц с обратными числами;
- неравенство суммы n-степеней единицы без дроби и единицы с дробью;
- неравенство суммы обратных квадратов n натуральных чисел;
- неравенство суммы обратных корней n натуральных чисел со знаком больше;
- неравенство суммы обратных корней n натуральных чисел со знаком меньше;
- неравенство суммы обратных n натуральных чисел, начиная с числа n+1;
- неравенство трёх квадратов;
- неравенство трёх кубов;
- неравенство трёх попарных отношений;
- неравенство факториала нечётного числа;
- неравенство факториала чётного числа;
- обобщённое неравенство Бернулли;
- неравенство Маркова;
- неравенство Чебышёва.
Литература[править]
- Беккенбах Э., Беллман Р. Неравенства. М.: КомКнига, под ред. В. И. Левина, Изд.2, 2007, стр.26, с.280.
