Секвенции
Перейти к навигации
Перейти к поиску
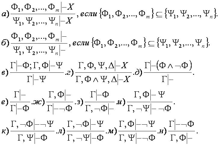
Секвенции (латинское sequentia — последовательность, следствие) — это выражения вида A1, A2,..., Am |- B1, B2,..., Bn, где |- — знак выводимости, A1, A2,..., Am и B2,..., Bn — произвольные формулы; первые — образующие антецедент секвенции, вторые — её сукцедент. Такого рода выражения изучаются в теории доказательств. Они оказываются более удобными для анализа синтаксической структуры выводов. Их называют исчислениями генценовского типа (по имени Генцена, который начал их изучать).
Основные правила[править]
Дополнительные правила[править]
Доказательства секвенций[править]
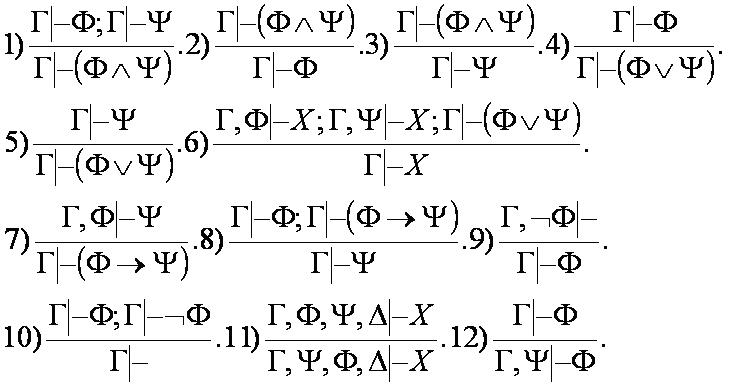
Доказательства некоторых дополнительных правил:
Правило_в[править]
Правило_д[править]
Правило_е[править]
Правило_з[править]
Правило_к[править]
Правило_л[править]
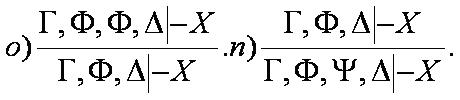
Правило_о[править]
Правило_п[править]
Другие понятия[править]
- Логический закон;
- Логические функции:
- Нормальные формы:
- Таблица истинности;
- Карта Карно;
- Трёхмерная карта Карно;
- Предикат;
- Секвенции;
- Суждение;
- Умозаключения:
- силогизмы:
Литература[править]
- Генцен Г. Исследования логических выводов. В кн. Математическая теория логического вывода, М, 1967, с. 9—74.