Неравенство Йенсена
Перейти к навигации
Перейти к поиску
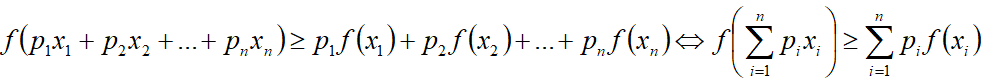
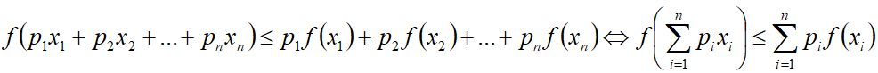
Неравенство Йенсена — неравенство, гласящее, что выпуклая вверх функция от линейной комбинации чисел не менее линейной комбинации функций от этих чисел, а выпуклая вниз функция от линейной комбинации чисел не более линейной комбинации функций от этих чисел.
Геометрический смысл: график выпуклой вверх функции расположен над хордой, график выпуклой вниз функции расположен под хордой.
Обозначения[править]
n — число чисел;
xi — i-ое число, 1≤i≤n;
pi — i-ая положительная дробь — i-ый коэффициент линейной комбинации, 0<pi<1.
f(x) — функция (выпуклая вверх или вниз);
p1+p2+…+pn=1 — свойство коэффициентов линейной комбинации;
p1x1+p2x2+…+pnxn — линейная комбинация чисел;
p1f(x1)+p2f(x2)+…+pnf(xn) — линейная комбинация функций.
Формула неравенства[править]
Функция выпуклая вверх[править]
Функция выпуклая вниз[править]
Следствия[править]
Полагая, что p1=p2=…=pn=1/n, получаем.
Функция выпуклая вверх[править]
Функция выпуклая вниз[править]
Другие неравенства:[править]
- неравенство средневзвешенных;
- обобщённое неравенство средних;
- неравенство четырёх средних;
- неравенство p-ичных средних;
- неравенство взвешенных p-ичных средних;
- неравенство Гёльдера;
- обобщённое неравенство Гёльдера;
- неравенство Гюйгенса;
- неравенство Йенсена;
- неравенство Коробова;
- неравенство Коши;
- неравенство Коши-Буняковского;
- неравенство Минковского;
- обобщённое неравенство Минковского;
- неравенство произведения единиц с дробями;
- неравенство произведения единиц с обратными дробями с единичной суммой;
- неравенство произведения единиц с отношениями квадратов чисел к соседним;
- неравенство произведения единиц с произведениями соседних чисел;
- неравенство произведения единицы со степенью числа и степени единицы с числом;
- неравенство произведения отношений единицы с дробью к единице без дроби;
- неравенство произведения отношений чисел к квадратам накопительных сумм единицы и этих чисел;
- неравенство произведения превышений обратных квадратов дробей над единицей;
- неравенство произведения суммы косинусов и суммы тангенсов;
- неравенство произведения суммы произведений и суммы отношений чисел двух последовательностей;
- неравенство произведения суммы произведений и суммы отношений чисел трёх последовательностей;
- неравенство суммы квадратов дробей с единичной суммой;
- неравенство суммы квадратов убывающих дробей;
- неравенство суммы кубов возрастающих чисел;
- неравенство суммы обратных единиц с дробями с единичной суммой;
- неравенство суммы обратных единиц с числом;
- неравенство суммы обратных чисел;
- неравенство суммы отношений чисел к сумме остальных чисел;
- неравенство суммы отношений дробей к корню из их дополнений до единицы;
- неравенство треугольника в n-мерном пространстве;
- неравенство Фань Цзы;
- неравенство Юнга;
- интегральное неравенство Коши-Буняковского;
- интегральное неравенство Минковского;
- интегральное неравенство Гёльдера;
- неравенство Чебышёва для одномонотонных последовательностей;
- неравенство Чебышёва для разномонотонных последовательностей;
- весовое неравенство Чебышёва для одномонотонных последовательностей;
- весовое неравенство Чебышёва для разномонотонных последовательностей;
- обобщённое неравенство Чебышёва для одномонотонных последовательностей;
- обобщённое неравенство Чебышёва для разномонотонных последовательностей;
- транснеравенство одномонотонных последовательностей;
- транснеравенство разномонотонных последовательностей;
- транснеравенство суммы квадратов чисел.
Литература[править]
- Зорич, В. А., Математический анализ. Ч.I, М, МЦНМО, 2012, с.289—290.
- Фихтенгольц Г. М., Курс дифференциального и интегрального исчисления, М, ФИЗМАТЛИТ, 2001, Т.1, с.336—337.



