Транснеравенство суммы квадратов чисел
Перейти к навигации
Перейти к поиску
Транснеравенство суммы квадратов n чисел — неравенство для действительных чисел, гласящее, что сумма квадратов n действительных чисел не меньше скалярного произведения числовой последовательности этих чисел с перестановкой этих чисел.
Обозначения[править]
- – число действительных чисел, n>1;
- – действительное число;
- – перестановка n индексов;
- – перестановка n чисел
- – множество перестановок n индексов.
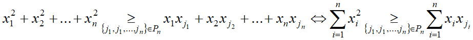
Формула неравенства[править]
Доказательство[править]
Доказательство 1[править]
Доказательство неравенством Коши-Буняковского транснеравенства суммы квадратов чисел
Доказательство 2[править]
Доказательство транснеравенством транснеравенства суммы квадратов чисел
Другие неравенства:[править]
- неравенство средневзвешенных;
- обобщённое неравенство средних;
- неравенство четырёх средних;
- неравенство p-ичных средних;
- неравенство взвешенных p-ичных средних;
- неравенство Гёльдера;
- обобщённое неравенство Гёльдера;
- неравенство Гюйгенса;
- неравенство Йенсена;
- неравенство Коробова;
- неравенство Коши;
- неравенство Коши-Буняковского;
- неравенство Минковского;
- обобщённое неравенство Минковского;
- неравенство произведения единиц с дробями;
- неравенство произведения единиц с обратными дробями с единичной суммой;
- неравенство произведения единиц с отношениями квадратов чисел к соседним;
- неравенство произведения единиц с произведениями соседних чисел;
- неравенство произведения единицы со степенью числа и степени единицы с числом;
- неравенство произведения отношений единицы с дробью к единице без дроби;
- неравенство произведения отношений чисел к квадратам накопительных сумм единицы и этих чисел;
- неравенство произведения превышений обратных квадратов дробей над единицей;
- неравенство произведения суммы косинусов и суммы тангенсов;
- неравенство произведения суммы произведений и суммы отношений чисел двух последовательностей;
- неравенство произведения суммы произведений и суммы отношений чисел трёх последовательностей;
- неравенство суммы квадратов дробей с единичной суммой;
- неравенство суммы квадратов убывающих дробей;
- неравенство суммы кубов возрастающих чисел;
- неравенство суммы обратных единиц с дробями с единичной суммой;
- неравенство суммы обратных единиц с числом;
- неравенство суммы обратных чисел;
- неравенство суммы отношений чисел к сумме остальных чисел;
- неравенство суммы отношений дробей к корню из их дополнений до единицы;
- неравенство треугольника в n-мерном пространстве;
- неравенство Фань Цзы;
- неравенство Юнга;
- интегральное неравенство Коши-Буняковского;
- интегральное неравенство Минковского;
- интегральное неравенство Гёльдера;
- неравенство Чебышёва для одномонотонных последовательностей;
- неравенство Чебышёва для разномонотонных последовательностей;
- весовое неравенство Чебышёва для одномонотонных последовательностей;
- весовое неравенство Чебышёва для разномонотонных последовательностей;
- обобщённое неравенство Чебышёва для одномонотонных последовательностей;
- обобщённое неравенство Чебышёва для разномонотонных последовательностей;
- транснеравенство одномонотонных последовательностей;
- транснеравенство разномонотонных последовательностей;
- транснеравенство суммы квадратов чисел.
