Площадь поверхности купола
Площадь поверхности купола — это сумма площади боковой поверхности, образованной образующей сегмента, вращающегося вокруг оси, проходящей через одну вершину сегмента (под острым углом к диаметру основания сегмента), и площади основания.
Под куполом будем подразумевать тело, ограниченное образующей сегмента, вращающегося вокруг оси, проходящей через одну вершину сегмента (под острым углом к диаметру основания сегмента), и плоскостью перпендикулярной оси вращения.
Обозначения[править]
R — радиус образующей дуги окружности;
r — радиус основания купола;
ρ — расстояние от основания купола до горизонтальной оси, проходящей через центр образующей окружности;
с — расстояние от центра образующей дуги окружности до вертикальной оси купола;
h — высота купола;
α — угол между радиусами образующей дуги окружности, соединяющими центр с краями образующего сегмента;
Sбок — площадь боковой поверхности купола.
Sосн — площадь основания купола.
Sкуп — площадь поверхности купола.
Формула[править]
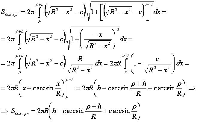
Вывод формулы[править]
См. также[править]
Другие формулы[править]
- фигура вращения;
- шар;
- цилиндр;
- конус;
- усечённый цилиндр;
- усечённый конус;
- шаровой сегмент;
- шаровой сектор;
- шаровой слой;
- шаровой клин;
- центральный шаровой клин;
- торовый клин;
- цилиндрическая труба;
- цилиндрическое копыто;
- конусное копыто;
- шаровое копыто;
- шаровая бочка;
- круговая бочка;
- сегментное кольцо;
- тор;
- кокон;
- купол;
- сфероид;
- параболоид вращения.