Площадь поверхности шарового клина
Перейти к навигации
Перейти к поиску
Площадь поверхности шарового клина — это сумма площадей боковой поверхности шарового клина и оснований шарового клина.
Под шаровым клином будем подразумевать часть шара, ограниченную двумя непараллельными плоскостями (кругами).
Обозначения[править]
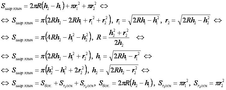
R — радиус шара;
r1 — радиус верхнего основания шарового клина;
r2 — радиус нижнего основания шарового клина;
h1 — высота верхнего (меньшего) шарового сегмента;
h2 — высота большего (нижнего) шарового сегмента;
φ — угол между непараллельными плоскостями (кругами);
Sбок — площадь боковой поверхности шарового клина;
Sr1осн — площадь верхнего основания шарового клина;
Sr2осн — площадь нижнего основания шарового клина;
Sшар.клин — площадь поверхности шарового клина.
Формула[править]
- Заметим, что площадь поверхности шарового клина совпадает с площадью поверхности шарового слоя с аналогичными верхним и нижним шаровыми сегментами.
См. также[править]
Другие формулы[править]
- фигура вращения;
- шар;
- цилиндр;
- конус;
- усечённый цилиндр;
- усечённый конус;
- шаровой сегмент;
- шаровой сектор;
- шаровой слой;
- шаровой клин;
- центральный шаровой клин;
- торовый клин;
- цилиндрическая труба;
- цилиндрическое копыто;
- конусное копыто;
- шаровое копыто;
- шаровая бочка;
- круговая бочка;
- сегментное кольцо;
- тор;
- кокон;
- купол;
- сфероид;
- параболоид вращения.