Площадь тора
Перейти к навигации
Перейти к поиску
Площадь тора — это число, характеризующее тор в единицах измерения площади.
Тор — это поверхность вращения, образующей окружности вокруг оси лежащей в плоскости этой окружности и не проходящей через её центр.
Обозначения[править]
R — радиус окружности вращения образующей окружности тора;
r — радиус образующей окружности тора;
R2 — внешний радиус тора;
R1 — внутренний радиус тора;
D — диаметр окружности вращения образующей окружности тора;
d — диаметр образующей окружности тора;
D2 — внешний диаметр тора;
D1 — внутренний диаметр тора;
Vтор — объём тора;
Sтор — площадь тора.
Формула[править]
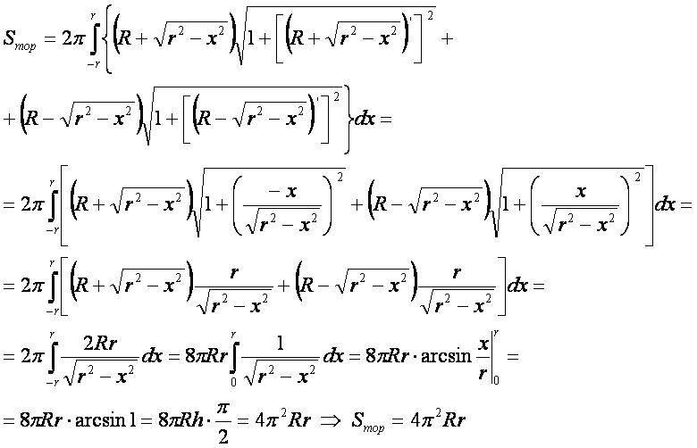
Вывод формулы[править]
См. также[править]
Другие формулы[править]
- фигура вращения;
- шар;
- цилиндр;
- конус;
- усечённый цилиндр;
- усечённый конус;
- шаровой сегмент;
- шаровой сектор;
- шаровой слой;
- шаровой клин;
- центральный шаровой клин;
- торовый клин;
- цилиндрическая труба;
- цилиндрическое копыто;
- конусное копыто;
- шаровое копыто;
- шаровая бочка;
- круговая бочка;
- сегментное кольцо;
- тор;
- кокон;
- купол;
- сфероид;
- параболоид вращения.
Литература[править]
- Бронштейн И. Н., Семендяев К. А., Справочник по математике — М., 1956, стр.178.