Площадь кокона
Перейти к навигации
Перейти к поиску
Площадь кокона — это площадь поверхности, образованной сегментом вращающимся вокруг диаметра своего основания.
Под коконом будем подразумевать тело, ограниченное сегментом вращающимся вокруг диаметра своего основания.
Обозначения[править]
R — радиус образующей дуги окружности;
r — радиус срединной окружности кокона;
с — расстояние от центра образующей дуги окружности до вертикальной оси кокона;
h — высота кокона;
α — угол между горизонтальной осью кокона и радиусом образующей дуги окружности, соединяющим центр с вeрхним краем кокона;
Sкок — площадь поверхности кокона.
Формула[править]
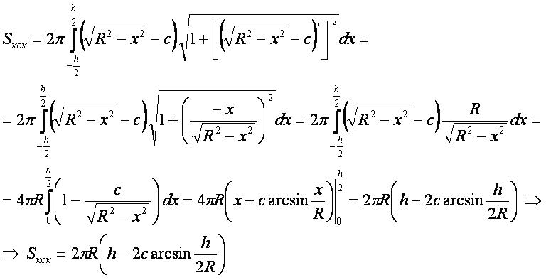
Вывод формулы[править]
См. также[править]
Другие формулы[править]
- фигура вращения;
- шар;
- цилиндр;
- конус;
- усечённый цилиндр;
- усечённый конус;
- шаровой сегмент;
- шаровой сектор;
- шаровой слой;
- шаровой клин;
- центральный шаровой клин;
- торовый клин;
- цилиндрическая труба;
- цилиндрическое копыто;
- конусное копыто;
- шаровое копыто;
- шаровая бочка;
- круговая бочка;
- сегментное кольцо;
- тор;
- кокон;
- купол;
- сфероид;
- параболоид вращения.