Объём кокона
Перейти к навигации
Перейти к поиску
Объём кокона — это объём, ограниченный сегментом вращающимся вокруг диаметра своего основания.
Под коконом будем подразумевать тело, ограниченное сегментом вращающимся вокруг диаметра своего основания.
Обозначения[править]
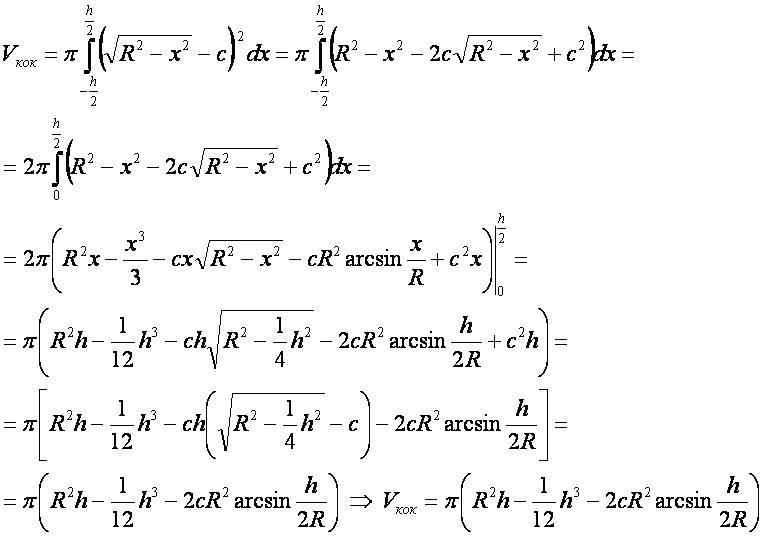
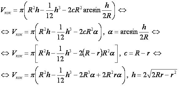
R — радиус образующей дуги окружности;
r — радиус срединной окружности кокона;
с — расстояние от центра образующей дуги окружности до вертикальной оси кокона;
h — высота кокона;
α — угол между горизонтальной осью кокона и радиусом образующей дуги окружности, соединяющим центр с вeрхним краем кокона;
Vкок — объём кокона.
Формула[править]
Вывод формулы[править]
См. также[править]
Другие формулы[править]
- фигура вращения;
- шар;
- цилиндр;
- конус;
- усечённый цилиндр;
- усечённый конус;
- шаровой сегмент;
- шаровой сектор;
- шаровой слой;
- шаровой клин;
- центральный шаровой клин;
- торовый клин;
- цилиндрическая труба;
- цилиндрическое копыто;
- конусное копыто;
- шаровое копыто;
- параболоидное копыто;
- шаровая бочка;
- круговая бочка;
- параболическая бочка;
- сегментное кольцо;
- тор;
- кокон;
- купол;
- сфероид;
- параболоид вращения.