Объём шаровой бочки
Перейти к навигации
Перейти к поиску
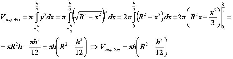
Объём шаровой бочки — это объём шарового слоя с одинаковыми основаниями. Объём шаровой бочки равен разности объёмов шара и двух шаровых сегментов оснований.
Обозначения[править]
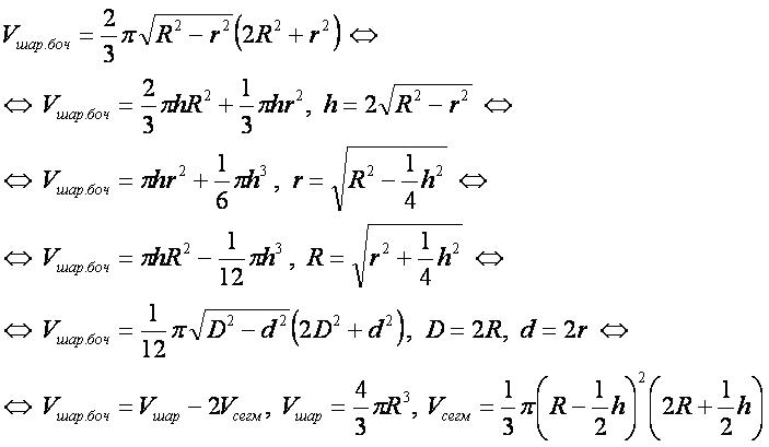
R — радиус шара;
D — диаметр шара;
r — радиус оснований бочки;
d — диаметр оснований бочки;
h — высота бочки;
Vсегм — объём шарового сегмента;
Vбоч — объём шаровой бочки.
Формула[править]
Вывод формулы[править]
См. также[править]
Другие формулы[править]
- фигура вращения;
- шар;
- цилиндр;
- конус;
- усечённый цилиндр;
- усечённый конус;
- шаровой сегмент;
- шаровой сектор;
- шаровой слой;
- шаровой клин;
- центральный шаровой клин;
- торовый клин;
- цилиндрическая труба;
- цилиндрическое копыто;
- конусное копыто;
- шаровое копыто;
- параболоидное копыто;
- шаровая бочка;
- круговая бочка;
- параболическая бочка;
- сегментное кольцо;
- тор;
- кокон;
- купол;
- сфероид;
- параболоид вращения.
Литература[править]
- Бронштейн И. Н., Семендяев К. А., Справочник по математике. М., 1956, стр.178.