Объём шарового сегмента
Перейти к навигации
Перейти к поиску
Объём шарового сегмента — часть объёма шара, ограниченная сегментом сферы и основанием сегмента. Вычисляется по формуле:
- V = πh²(3R − h)/3
(R — радиус шара, h — высота шарового сегмента, π — число Пи).
Обозначения[править]
- — радиус шара;
- — радиус основания шарового сегмента;
- — высота шарового сегмента;
- — центральный угол шарового сегмента;
- — площадь основания шарового сегмента;
- — площадь боковой поверхности шарового сегмента;
- — объём шарового сегмента.
Формула[править]
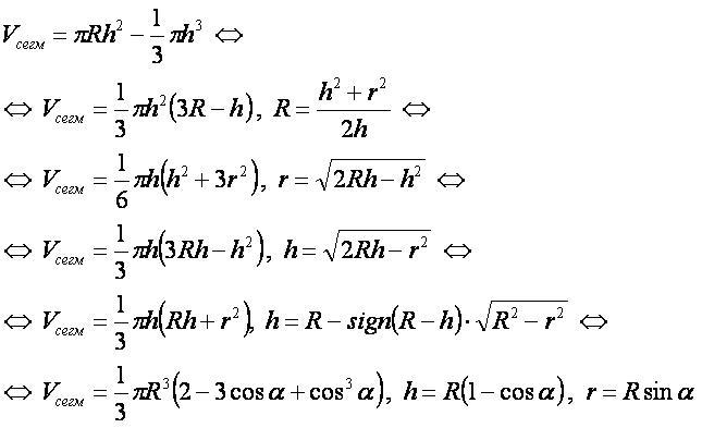
- Невозможно разобрать выражение (Ошибка преобразования. Сервер («https://wikimedia.org/api/rest_») сообщил: «Cannot get mml. Server problem.»): {\displaystyle \Leftrightarrow V_{\text{сегм}}={\frac {1}{3}}\pi R^{3}(2-3\cos \alpha +\cos ^{3}\alpha ),\ h=R(1-\cos \alpha ),r=R\sin \alpha }
- Заметим, что при высоте сегмента равной диаметру шара, сегмент превращается в шар. Соответственно, формула объёма сегмента с высотой в диаметр шара превращается в формулу объёма шара.
Вывод формулы[править]
- Невозможно разобрать выражение (Ошибка преобразования. Сервер («https://wikimedia.org/api/rest_») сообщил: «Cannot get mml. Server problem.»): {\displaystyle V_{\text{сегм}}=\pi \int \limits _{R-h}^{R}\left({\sqrt {R^{2}-x^{2}}}\right)^{2}dx=\pi \int \limits _{R-h}^{R}(R^{2}-x^{2})dx=\pi \left.\left(R^{2}x-{\frac {x^{3}}{3}}\right)\right|_{R-h}^{R}=}
- Невозможно разобрать выражение (Ошибка преобразования. Сервер («https://wikimedia.org/api/rest_») сообщил: «Cannot get mml. Server problem.»): {\displaystyle =\pi \left[R^{2}h-{\frac {1}{3}}R^{3}+{\frac {1}{3}}(R-h)^{3}\right]=\pi \left(Rh^{2}-{\frac {1}{3}}h^{3}\right)={\frac {1}{3}}\pi h^{2}(3R-h)\Rightarrow }
См. также[править]
Другие формулы[править]
- фигура вращения;
- шар;
- цилиндр;
- конус;
- усечённый цилиндр;
- усечённый конус;
- шаровой сегмент;
- шаровой сектор;
- шаровой слой;
- шаровой клин;
- центральный шаровой клин;
- торовый клин;
- цилиндрическая труба;
- цилиндрическое копыто;
- конусное копыто;
- шаровое копыто;
- параболоидное копыто;
- шаровая бочка;
- круговая бочка;
- параболическая бочка;
- сегментное кольцо;
- тор;
- кокон;
- купол;
- сфероид;
- параболоид вращения.
Литература[править]
- Бронштейн И. Н., Семендяев К. А., Справочник по математике — М., 1956, стр.177.