Объём шара
Перейти к навигации
Перейти к поиску
Объём шара — число, характеризующее шар в единицах измерения объёма.
Обозначения[править]
- R — радиус шара;
- D — диаметр шара;
- Vшар — объём шара.
Формула[править]
- Невозможно разобрать выражение (SVG с запасным PNG (MathML можно включить с помощью плагина для браузера): Недопустимый ответ («Math extension cannot connect to Restbase.») от сервера «https://wikimedia.org/api/rest_v1/»:): {\displaystyle V_\text{шар}=\frac{4}{3}\pi R^3\Leftrightarrow V_\text{шар}=\frac{1}{3}RS_\text{шар},\ S_\text{шар}=4\pi R^2\Leftrightarrow V_\text{шар}=\frac{1}{6}\pi D^3,\ D=2R}
Вывод формулы[править]
1-й способ[править]
- Невозможно разобрать выражение (SVG с запасным PNG (MathML можно включить с помощью плагина для браузера): Недопустимый ответ («Math extension cannot connect to Restbase.») от сервера «https://wikimedia.org/api/rest_v1/»:): {\displaystyle V_\text{шар}=\pi\int\limits_{-R}^R\left(\sqrt{R^2-x^2}\right)^2dx=2\pi\int\limits_0^R(R^2-x^2)dx=2pi\left.\left(R^2x-\frac{x^3}{3}\right)\right|_0^R=}
- Невозможно разобрать выражение (SVG с запасным PNG (MathML можно включить с помощью плагина для браузера): Недопустимый ответ («Math extension cannot connect to Restbase.») от сервера «https://wikimedia.org/api/rest_v1/»:): {\displaystyle =2\pi R^3-\frac{2}{3}\pi R^3=\frac{4}{3}\pi R^3\Rightarrow V_\text{шар}=\frac{4}{3}\pi R^3}
- Для вывода используется формула «объём фигуры вращения».
2-й способ[править]
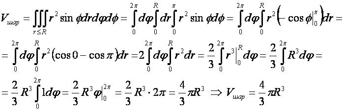
- Для вывода используется формула «объём трёхмерной фигуры» в сферических координатах.
См. также[править]
Другие формулы[править]
- фигура вращения;
- шар;
- цилиндр;
- конус;
- усечённый цилиндр;
- усечённый конус;
- шаровой сегмент;
- шаровой сектор;
- шаровой слой;
- шаровой клин;
- центральный шаровой клин;
- торовый клин;
- цилиндрическая труба;
- цилиндрическое копыто;
- конусное копыто;
- шаровое копыто;
- параболоидное копыто;
- шаровая бочка;
- круговая бочка;
- параболическая бочка;
- сегментное кольцо;
- тор;
- кокон;
- купол;
- сфероид;
- параболоид вращения.
Литература[править]
- Бронштейн И. Н., Семендяев К. А., Справочник по математике. М., 1956, стр.177.