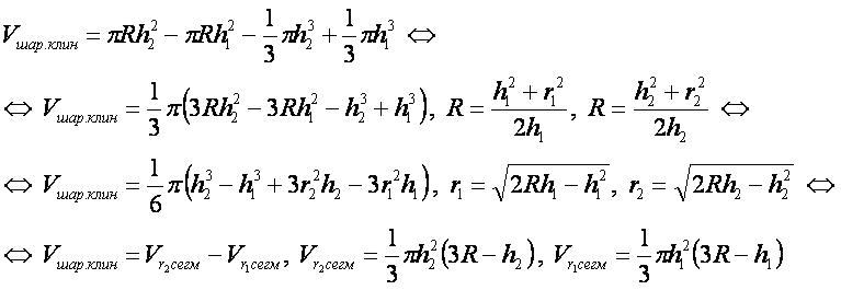
Объём шарового клина
Перейти к навигации
Перейти к поиску
Объём шарового клина — это разность объёмов соответствующих шаровых сегментов с основаниями шарового клина.
Под шаровым клином будем подразумевать часть шара, ограниченную двумя непараллельными плоскостями (кругами).
Обозначения[править]
R — радиус шара;
r1 — радиус верхнего основания шарового клина;
r2 — радиус нижнего основания шарового клина;
h1 — высота верхнего (меньшего) шарового сегмента;
h2 — высота большего (нижнего) шарового сегмента;
Vr1сегм — объём верхнего (меньшего) шарового сегмента;
Vr2сегм — объём большего (нижнего) шарового сегмента;
Vшар.клин — объём шарового клина.
Формула[править]
- Заметим, что объём шарового клина совпадает с объёмом шарового слоя с аналогичными верхним и нижним шаровыми сегментами.
См. также[править]
Другие формулы[править]
- фигура вращения;
- шар;
- цилиндр;
- конус;
- усечённый цилиндр;
- усечённый конус;
- шаровой сегмент;
- шаровой сектор;
- шаровой слой;
- шаровой клин;
- центральный шаровой клин;
- торовый клин;
- цилиндрическая труба;
- цилиндрическое копыто;
- конусное копыто;
- шаровое копыто;
- параболоидное копыто;
- шаровая бочка;
- круговая бочка;
- параболическая бочка;
- сегментное кольцо;
- тор;
- кокон;
- купол;
- сфероид;
- параболоид вращения.