Объём шарового слоя

Материал из Циклопедии
Перейти к навигации Перейти к поиску
Шаровой слой
30. Объем шара, шарового сегмента, слоя и сектора // Инфоурок [8:57]

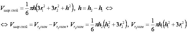
Объём шарового слоя — это разность объёмов шаровых сегментов с основаниями шарового слоя.

Под шаровым слоем будем подразумевать часть шара, ограниченную двумя параллельными плоскостями (кругами).

Обозначения[править]

R — радиус шара;

r1 — радиус верхнего основания шарового слоя и меньшего шарового сегмента;

r2 — радиус нижнего основания шарового слоя и большего шарового сегмента;

h — высота шарового слоя;

h1 — высота меньшего шарового сегмента;

h2 — высота большего шарового сегмента;

Vr1сегм — объём меньшего шарового сегмента;

Vr2сегм — объём большего шарового сегмента;

Vшар.слой — объём шарового слоя.

Формула[править]

ОСЛ01.JPG

  • Заметим, что при высоте слоя равной диаметру шара, слой превращается в шар. Соответственно, формула объёма слоя с высотой в диаметр шара превращается в формулу объёма шара.

См. также[править]

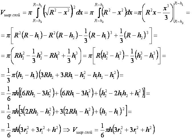
Вывод формулы[править]

ОСЛ02.PNG

Другие формулы[править]


Литература[править]

  • Бронштейн И. Н., Семендяев К. А., Справочник по математике. М., 1956, стр.177.

Ссылки[править]