Объём цилиндрического копыта
Перейти к навигации
Перейти к поиску
Объём цилиндрического копыта — это объём меньшей части цилиндра, ограниченной сечением цилиндра и основанием.
Цилиндрическое копыто — это меньшая часть прямого кругового усечённого цилиндра с сечением одного основания.
Обозначения[править]
R — радиус основания;
a — половина длины линии сечения основания;
b — высота основания;
c — расстояние от центра основания до линии сечения основания;
h — высота цилиндрического копыта;
l — высота сечения;
α — угол между радиусом основания, соединяющим центр основания и край линии сечения, и горизонтальной осью (проходящей через центры основания и линии сечения) ;
Vцил.коп — объём цилиндрического копыта.
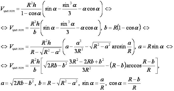
Формула[править]
Вывод формулы[править]
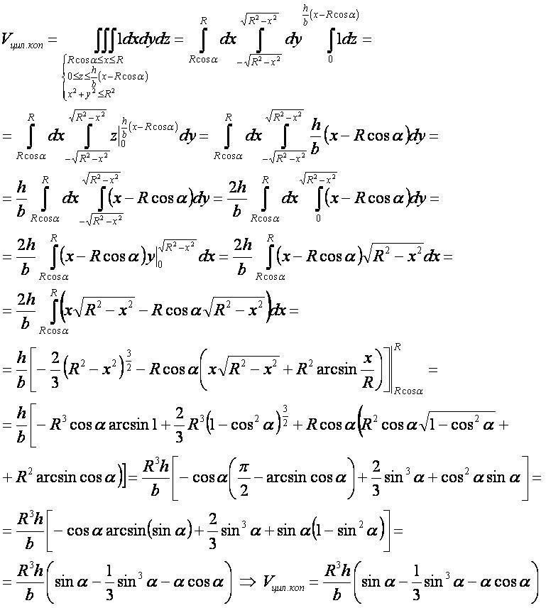
- Для вывода используется формула «объём трёхмерной фигуры» в прямоугольных координатах.
- Заметим, что при α=π цилиндрическое копыто превращается в усечённый цилиндр с h1=0 и h2=h, а формула объёма цилиндрического копыта превращается в формулу объёма усечённого цилиндра.
См. также[править]
Другие формулы[править]
- фигура вращения;
- шар;
- цилиндр;
- конус;
- усечённый цилиндр;
- усечённый конус;
- шаровой сегмент;
- шаровой сектор;
- шаровой слой;
- шаровой клин;
- центральный шаровой клин;
- торовый клин;
- цилиндрическая труба;
- цилиндрическое копыто;
- конусное копыто;
- шаровое копыто;
- параболоидное копыто;
- шаровая бочка;
- круговая бочка;
- параболическая бочка;
- сегментное кольцо;
- тор;
- кокон;
- купол;
- сфероид;
- параболоид вращения.
Литература[править]
- Бронштейн И. Н., Семендяев К. А., Справочник по математике. М., 1956, стр.175.