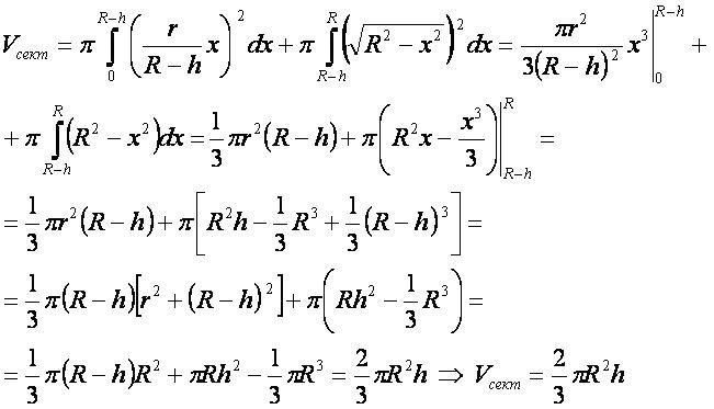
Объём шарового сектора
Перейти к навигации
Перейти к поиску
Объём шарового сектора — это часть объёма шара, ограниченная конусом и сегментом сферы. Вычисляется по формуле:
- V = 2πR²h/3
(R — радиус шара, h — высота шарового сегмента, π — число Пи).
Обозначения[править]
- — радиус шара и образующая конуса;
- — радиус основания шарового сегмента;
- — высота шарового сегмента;
- — центральный угол шарового сектора;
- — объём конуса;
- — объём шарового сегмента;
- Невозможно разобрать выражение (Ошибка преобразования. Сервер («https://wikimedia.org/api/rest_») сообщил: «Cannot get mml. Server problem.»): {\displaystyle V_{\text{сект}}} — объём шарового сектора.
Формула[править]
- Невозможно разобрать выражение (Ошибка преобразования. Сервер («https://wikimedia.org/api/rest_») сообщил: «Cannot get mml. Server problem.»): {\displaystyle V_{\text{сект}}={\frac {2}{3}}\pi R^{2}h,\ R={\frac {h^{2}+r^{2}}{2h}}\Leftrightarrow V_{\text{сект}}={\frac {\pi }{6h}}\left(h^{2}+r^{2}\right)^{2},\ r={\sqrt {2Rh-h^{2}}}\Leftrightarrow }
- Невозможно разобрать выражение (Ошибка преобразования. Сервер («https://wikimedia.org/api/rest_») сообщил: «Cannot get mml. Server problem.»): {\displaystyle \Leftrightarrow V_{\text{сект}}=V_{\text{сегм}}+sign(R-h)\cdot V_{\text{кон}},\ V_{\text{сегм}}={\frac {1}{3}}\pi h^{2}(3R-h),\ V_{\text{кон}}={\frac {1}{3}}\pi r^{2}|R-h|}
- Заметим, что при высоте сегмента равной диаметру шара, сектор превращается в шар. Соответственно, формула объёма сектора с высотой в диаметр шара превращается в формулу объёма шара.
Вывод формулы[править]
См. также[править]
Другие формулы[править]
- фигура вращения;
- шар;
- цилиндр;
- конус;
- усечённый цилиндр;
- усечённый конус;
- шаровой сегмент;
- шаровой сектор;
- шаровой слой;
- шаровой клин;
- центральный шаровой клин;
- торовый клин;
- цилиндрическая труба;
- цилиндрическое копыто;
- конусное копыто;
- шаровое копыто;
- параболоидное копыто;
- шаровая бочка;
- круговая бочка;
- параболическая бочка;
- сегментное кольцо;
- тор;
- кокон;
- купол;
- сфероид;
- параболоид вращения.
Литература[править]
- Бронштейн И. Н., Семендяев К. А., Справочник по математике — М., 1956, стр.177.