Объём цилиндрической трубы
Перейти к навигации
Перейти к поиску
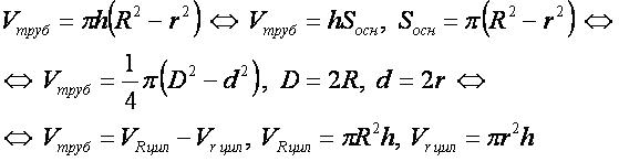
Объём цилиндрической трубы — это разность объёмов внешнего и внутреннего цилиндров трубы.
Рассмотрим прямые круговые цилиндрические трубы.
Обозначения[править]
R — радиус основания внешнего цилиндра трубы;
r — радиус основания внутреннего цилиндра трубы;
D — диаметр основания внешнего цилиндра трубы;
d — диаметр основания внутреннего цилиндра трубы;
h — высота цилиндра;
Sосн — площадь основания цилиндрической трубы;
Vтруб — объём цилиндрической трубы.
Формула[править]
См. также[править]
Другие формулы[править]
- фигура вращения;
- шар;
- цилиндр;
- конус;
- усечённый цилиндр;
- усечённый конус;
- шаровой сегмент;
- шаровой сектор;
- шаровой слой;
- шаровой клин;
- центральный шаровой клин;
- торовый клин;
- цилиндрическая труба;
- цилиндрическое копыто;
- конусное копыто;
- шаровое копыто;
- параболоидное копыто;
- шаровая бочка;
- круговая бочка;
- параболическая бочка;
- сегментное кольцо;
- тор;
- кокон;
- купол;
- сфероид;
- параболоид вращения.
Литература[править]
- Бронштейн И. Н., Семендяев К. А., Справочник по математике. М., 1956, стр.175.