Кубическое уравнение

Материал из Циклопедии
Перейти к навигации Перейти к поиску

Кубическое уравнение — это такое, которое может быть преобразовано к уравнению с многочленом третьей степени в левой части и нулём в правой части.

Обозначения[править]

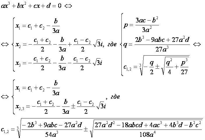
x — переменная;
y — дополнительная переменная;
x1, x2, x3 — корни кубического уравнения — комплексные числа;
y1, y2, y3 — корни «неполного» кубического уравнения — комплексные числа;
a, b, c, d, p, q — коэффициенты — действительные числа;
c1, c2 — коэффициенты — комплексные числа;
ax3 + bx2 + cx + d — многочлен третьей степени, при этом a ≠ 0;
ax3 + bx2 + cx + d = 0 — кубическое уравнение, при этом a ≠ 0;
ay3 + py + q = 0 — кубическое уравнение «неполного» вида.

Формула[править]

КУУ01.JPG

  • Кубическое уравнение имеет либо три действительных корня, либо один действительный корень и два комплексных корня.
  • Множество действительных чисел является подмножеством множества комплексных чисел.

Вывод формулы[править]

Решение Кардано приведением к «неполному» виду

КУУ02.PNG

См. также[править]

Другие уравнения:[править]


Литература[править]

  • Корн Г., Корн Т. Справочник по математике для научных работников и инженеров — М.: Наука, 1970, стр.47.

Ссылки[править]

Алгебраические уравнения

Линейное уравнение · Квадратное уравнение (простейшее, формула решения· Кубическое уравнение (простейшее· Уравнение четвёртой степени · Уравнение пятой степени · Уравнение шестой степени · Уравнение седьмой степени