Площадь правильного восемнадцатиугольника
Перейти к навигации
Перейти к поиску
Площадь правильного восемнадцатиугольника — число, характеризующее восемнадцатиугольник в единицах измерения площади.
Определение[править]
Правильный восемнадцатиугольник — восемнадцатиугольник (октадекагон) у которого все стороны и углы равны.
Обозначения[править]
a — длина стороны;
n — число сторон, n=18;
r — радиус вписанной окружности;
R — радиус описанной окружности;
α — половинный центральный угол, α=π/18=10°;
β — внутренний угол между соседними сторонами, β=π˙8/9=160°;
γ — центральный угол, γ=π/9=20°;
P18 — периметр правильного восемнадцатиугольника;
SΔ — площадь равнобедренного треугольника с основанием равным стороне и боковыми сторонами равными радиусу описанной окружности;
S18 — площадь правильного восемнадцатиугольника.
Формулы:[править]
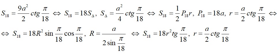
- Применяя формулу площади правильного n-угольника для n=18, получим:
Другие многоугольники:[править]
- треугольник (тригон);
- четырёхугольник (тетрагон);
- пятиугольник (пентагон);
- шестиугольник (гексагон);
- семиугольник (гептагон);
- восьмиугольник (октагон);
- девятиугольник (эннеагон);
- десятиугольник (декагон);
- одиннадцатиугольник (гендекагон);
- двенадцатиугольник (додекагон);
- тринадцатиугольник (тридекагон);
- четырнадцатиугольник (тетрадекагон);
- пятнадцатиугольник (пентадекагон);
- шестнадцатиугольник (гексадекагон);
- семнадцатиугольник (гептадекагон);
- восемнадцатиугольник (октадекагон);
- девятнадцатиугольник (эннеадекагон);
- двадцатиугольник (икосагон);
- правильный n-угольник.

