Площадь правильного девятиугольника
Перейти к навигации
Перейти к поиску
Площадь правильного девятиугольника — число, характеризующее девятиугольник в единицах измерения площади.
Определение[править]
Правильный девятиугольник — девятиугольник (эннеагон) у которого все стороны и углы равны.
Обозначения[править]
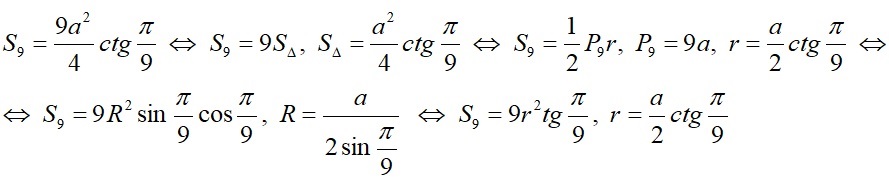
a — длина стороны;
n — число сторон, n=9;
r — радиус вписанной окружности;
R — радиус описанной окружности;
α — половинный центральный угол, α=π/9=20°;
β — внутренний угол между соседними сторонами, β=7π/9=140°;
γ — центральный угол, γ=2π/9=40°;
P9 — периметр правильного девятиугольника;
SΔ — площадь равнобедренного треугольника с основанием равным стороне и боковыми сторонами равными радиусу описанной окружности;
S9 — площадь правильного семиугольника.
Формулы:[править]
- Применяя формулу площади правильного n-угольника для n=9, получим:
Другие многоугольники:[править]
- треугольник (тригон);
- четырёхугольник (тетрагон);
- пятиугольник (пентагон);
- шестиугольник (гексагон);
- семиугольник (гептагон);
- восьмиугольник (октагон);
- девятиугольник (эннеагон);
- десятиугольник (декагон);
- одиннадцатиугольник (гендекагон);
- двенадцатиугольник (додекагон);
- тринадцатиугольник (тридекагон);
- четырнадцатиугольник (тетрадекагон);
- пятнадцатиугольник (пентадекагон);
- шестнадцатиугольник (гексадекагон);
- семнадцатиугольник (гептадекагон);
- восемнадцатиугольник (октадекагон);
- девятнадцатиугольник (эннеадекагон);
- двадцатиугольник (икосагон);
- правильный n-угольник.

