Площадь правильного семнадцатиугольника
Перейти к навигации
Перейти к поиску
Площадь правильного семнадцатиугольника — число, характеризующее семнадцатиугольник в единицах измерения площади.
Определение[править]
Правильный семнадцатиугольник — семнадцатиугольник (гептадекагон) у которого все стороны и углы равны.
Обозначения[править]
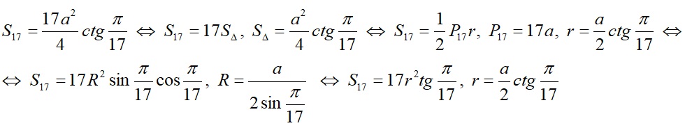
a — длина стороны;
n — число сторон, n=17;
r — радиус вписанной окружности;
R — радиус описанной окружности;
α — половинный центральный угол, α=π/17=10 10/17 °;
β — внутренний угол между соседними сторонами, β=15π/17=158 14/17 °;
γ — центральный угол, γ=2π/17=21 3/17 °;
P17 — периметр правильного семнадцатиугольника;
SΔ — площадь равнобедренного треугольника с основанием равным стороне и боковыми сторонами равными радиусу описанной окружности;
S17 — площадь правильного семнадцатиугольника.
Формулы:[править]
- Применяя формулу площади правильного n-угольника для n=17, получим:
Другие многоугольники:[править]
- треугольник (тригон);
- четырёхугольник (тетрагон);
- пятиугольник (пентагон);
- шестиугольник (гексагон);
- семиугольник (гептагон);
- восьмиугольник (октагон);
- девятиугольник (эннеагон);
- десятиугольник (декагон);
- одиннадцатиугольник (гендекагон);
- двенадцатиугольник (додекагон);
- тринадцатиугольник (тридекагон);
- четырнадцатиугольник (тетрадекагон);
- пятнадцатиугольник (пентадекагон);
- шестнадцатиугольник (гексадекагон);
- семнадцатиугольник (гептадекагон);
- восемнадцатиугольник (октадекагон);
- девятнадцатиугольник (эннеадекагон);
- двадцатиугольник (икосагон);
- правильный n-угольник.

