Точка прямой, находящаяся от первой точки прямой за второй в данном отношении
Перейти к навигации
Перейти к поиску
Точка прямой, находящаяся от первой точки прямой за второй в данном отношении, — это точка вне отрезка прямой между точками прямой.
Обозначения[править]
- — радиус-вектор искомой внешней точки прямой;
- — радиус-вектор первой точки прямой;
- — радиус-вектор второй точки прямой;
- Невозможно разобрать выражение (Ошибка преобразования. Сервер («https://wikimedia.org/api/rest_») сообщил: «Cannot get mml. Server problem.»): {\displaystyle {\frac {x-x_{1}}{x_{2}-x_{1}}}={\frac {y-y_{1}}{y_{2}-y_{1}}}={\frac {z-z_{1}}{z_{2}-z_{1}}}} — уравнение прямой, проходящей через две точки;
- — отношение больше 1, т. е. .
Рисунок[править]
Формулы[править]
Векторная форма[править]
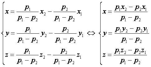
Координатная форма[править]
- Заметим, что формулы точки прямой, находящейся от первой точки прямой за второй в данном отношении, являются аналогом формул точки прямой, находящейся от первой точки прямой до второй в данном отношении, при этом знаменатель отношения меняет знак.
Другие точки:[править]
- проекция точки на прямую;
- проекция точки на плоскость;
- основание перпендикуляра из точки к прямой;
- основание перпендикуляра из точки к плоскости;
- точка пересечения перпендикуляра к двум прямым с первой прямой;
- точка пересечения перпендикуляра к двум прямым со второй прямой;
- точка пересечения прямой и плоскости;
- точка пересечения трёх плоскостей;
- точка, равноудалённая от двух прямых;
- точка, равноудалённая от четырёх точек;
- точка деления отрезка в данном отношении;
- точка прямой, находящаяся от первой точки прямой до второй в данном отношении;
- точка прямой, находящаяся перед первой точкой прямой до второй в данном отношении;
- точка прямой, находящаяся от первой точки прямой за второй в данном отношении.