Основание перпендикуляра из точки к прямой в трёхмерном пространстве
(перенаправлено с «Основание перпендикуляра из точки к прямой»)
Перейти к навигации
Перейти к поиску
Основание перпендикуляра из точки к прямой — это точка пересечения перпендикуляра и прямой.
Обозначения[править]
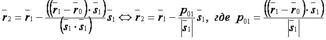
- — радиус-вектор точки;
- — радиус-вектор точки прямой;
- — радиус-вектор основания перпендикуляра;
- — направляющий вектор прямой;
- — уравнение прямой;
- — отклонение точки прямой от перпендикулярной плоскости, проходящей через точку перпендикуляра.
Формулы[править]
Векторная форма[править]
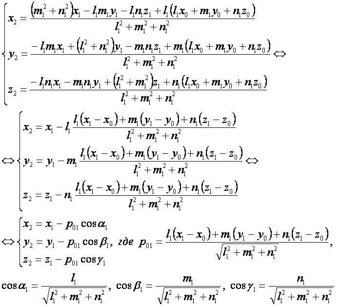
Координатная форма[править]
- Заметим, что формулы основания перпендикуляра из (заданной) точки к прямой аналогичны формулам основания перпендикуляра из точки к плоскости, при этом за точку берётся точка прямой, а за плоскость берётся перпендикулярная к прямой плоскость, проходящая через точку.
Пример[править]
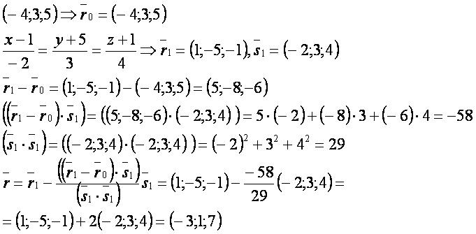
Даны точка и прямая: и .
Найти основание перпендикуляра из точки к прямой.
Решение.
Другие точки:[править]
- проекция точки на прямую;
- проекция точки на плоскость;
- основание перпендикуляра из точки к прямой;
- основание перпендикуляра из точки к плоскости;
- точка пересечения перпендикуляра к двум прямым с первой прямой;
- точка пересечения перпендикуляра к двум прямым со второй прямой;
- точка пересечения прямой и плоскости;
- точка пересечения трёх плоскостей;
- точка, равноудалённая от двух прямых;
- точка, равноудалённая от четырёх точек;
- точка деления отрезка в данном отношении;
- точка прямой, находящаяся от первой точки прямой до второй в данном отношении;
- точка прямой, находящаяся перед первой точкой прямой до второй в данном отношении;
- точка прямой, находящаяся от первой точки прямой за второй в данном отношении.