Основание перпендикуляра из точки к плоскости в трёхмерном пространстве
(перенаправлено с «Основание перпендикуляра из точки к плоскости»)
Перейти к навигации
Перейти к поиску
Основание перпендикуляра из точки к плоскости — это точка пересечения перпендикуляра и плоскости.
Обозначения[править]
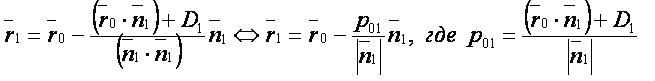
- — радиус-вектор точки;
- — радиус-вектор основания перпендикуляра;
- — нормаль к плоскости;
- — уравнение плоскости;
- — отклонение точки от плоскости.
Формулы[править]
Векторная форма[править]
Координатная форма[править]
- Заметим, что формулы основания перпендикуляра из точки к плоскости являются частным случаем формул точки пересечения прямой и плоскости, при перпендикулярности прямой к плоскости.
Пример[править]
Даны точка и плоскость: и .
Найти основание перпендикуляра из точки к плоскости.
Решение.
Другие точки:[править]
- проекция точки на прямую;
- проекция точки на плоскость;
- основание перпендикуляра из точки к прямой;
- основание перпендикуляра из точки к плоскости;
- точка пересечения перпендикуляра к двум прямым с первой прямой;
- точка пересечения перпендикуляра к двум прямым со второй прямой;
- точка пересечения прямой и плоскости;
- точка пересечения трёх плоскостей;
- точка, равноудалённая от двух прямых;
- точка, равноудалённая от четырёх точек;
- точка деления отрезка в данном отношении;
- точка прямой, находящаяся от первой точки прямой до второй в данном отношении;
- точка прямой, находящаяся перед первой точкой прямой до второй в данном отношении;
- точка прямой, находящаяся от первой точки прямой за второй в данном отношении.