Точка, равноудалённая от двух прямых
Перейти к навигации
Перейти к поиску
Точка, равноудалённая от двух прямых — точка, наименее удалённая от этих прямых и лежащая на середине перпендикуляра к этим прямым.
Обозначения[править]
- — радиус-вектор равноудалённой точки;
- — радиус-вектор точки на первой прямой;
- — радиус-вектор точки на второй прямой;
- — направляющий вектор первой прямой;
- — направляющий вектор второй прямой;
- — уравнение первой прямой;
- — уравнение второй прямой.
Формулы[править]
Векторная форма[править]
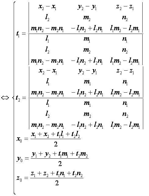
Координатная форма[править]
Формулы верны только для скрещивающихся прямых.
Другие точки:[править]
- проекция точки на прямую;
- проекция точки на плоскость;
- основание перпендикуляра из точки к прямой;
- основание перпендикуляра из точки к плоскости;
- точка пересечения перпендикуляра к двум прямым с первой прямой;
- точка пересечения перпендикуляра к двум прямым со второй прямой;
- точка пересечения прямой и плоскости;
- точка пересечения трёх плоскостей;
- точка, равноудалённая от двух прямых;
- точка, равноудалённая от четырёх точек;
- точка деления отрезка в данном отношении;
- точка прямой, находящаяся от первой точки прямой до второй в данном отношении;
- точка прямой, находящаяся перед первой точкой прямой до второй в данном отношении;
- точка прямой, находящаяся от первой точки прямой за второй в данном отношении.