Точка пересечения прямой и плоскости
Перейти к навигации
Перейти к поиску
Точка пересечения прямой и плоскости — это точка, удовлетворяющая уравнениям прямой и плоскости.
Обозначения[править]
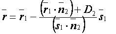
- — радиус-вектор точки прямой;
- — радиус-вектор точки пересечения прямой и плоскости;
- Невозможно разобрать выражение (Ошибка преобразования. Сервер («https://wikimedia.org/api/rest_») сообщил: «Cannot get mml. Server problem.»): {\displaystyle {\bar {s}}_{1}=(l_{1},m_{1},n_{1})} — направляющий вектор прямой;
- Невозможно разобрать выражение (Ошибка преобразования. Сервер («https://wikimedia.org/api/rest_») сообщил: «Cannot get mml. Server problem.»): {\displaystyle {\bar {n}}_{2}=(A_{2},B_{2},C_{2})} — нормаль к плоскости;
- — уравнение прямой;
- Невозможно разобрать выражение (Ошибка преобразования. Сервер («https://wikimedia.org/api/rest_») сообщил: «Cannot get mml. Server problem.»): {\displaystyle A_{2}x+B_{2}y+C_{2}z+D_{2}=0} — уравнение плоскости.
Формулы[править]
Векторная форма[править]
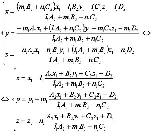
Координатная форма[править]
- Заметим, что при перпендикулярности прямой к плоскости формулы точки пересечения прямой и плоскости совпадают с формулами основания перпендикуляра из точки к плоскости.
- Заметим, что для определения координат точки пересечения прямой и плоскости достаточно, записав уравнения прямой и плоскости в систему, решить систему методами линейной алгебры.
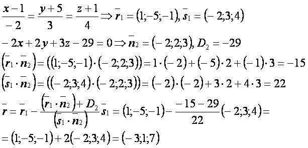
Пример[править]
Даны прямая и плоскость: и Невозможно разобрать выражение (Ошибка преобразования. Сервер («https://wikimedia.org/api/rest_») сообщил: «Cannot get mml. Server problem.»): {\displaystyle -2x+2y+3z-29=0} .
Найти точку пересечения прямой и плоскости.
Решение.
Другие точки:[править]
- проекция точки на прямую;
- проекция точки на плоскость;
- основание перпендикуляра из точки к прямой;
- основание перпендикуляра из точки к плоскости;
- точка пересечения перпендикуляра к двум прямым с первой прямой;
- точка пересечения перпендикуляра к двум прямым со второй прямой;
- точка пересечения прямой и плоскости;
- точка пересечения трёх плоскостей;
- точка, равноудалённая от двух прямых;
- точка, равноудалённая от четырёх точек;
- точка деления отрезка в данном отношении;
- точка прямой, находящаяся от первой точки прямой до второй в данном отношении;
- точка прямой, находящаяся перед первой точкой прямой до второй в данном отношении;
- точка прямой, находящаяся от первой точки прямой за второй в данном отношении.