Длина дуги астроиды
Длина дуги астроиды — это число, характеризующее протяжённость дуги астроиды в единицах измерения длины.
Астроида — это линия, описываемая точкой малой окружности радиуса в четверть фиксированного радиуса, когда она катится без скольжения по внутреннкей стороне окружности фиксированного радиуса.
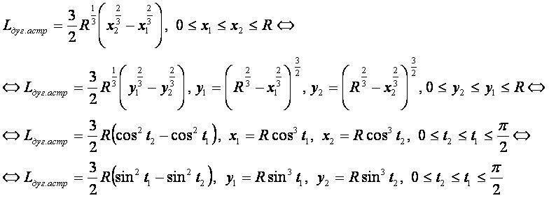
Рассмотрим дуги астроиды, исходящей из точки (0; R) до точки (R; 0).
Обозначения[править]
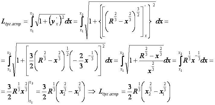
x1 — абсцисса (меньшая) первой точки дуги;
y1 — ордината первой точки дуги;
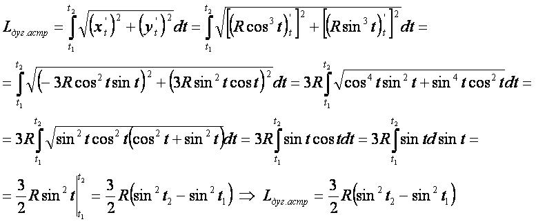
t1 — параметр первой точки дуги;
x2 — абсцисса (большая) второй точки дуги;
y2 — ордината второй точки дуги;
t2 — параметр второй точки дуги;
R — радиус окружности и высота астроиды;
r — радиус малой окружности;
M = (x; y) — точка астроиды;
M0 = (0; R) — вершина астроиды;
x2/3 + y2/3 = R2/3 — уравнение астроиды;
t — параметрическая переменная;
x = Rcos3t — параметрическое уравнение абсциссы астроиды;
y = Rsin3t — параметрическое уравнение ординаты астроиды;
Lдуг.астр — длина дуги астроиды.
Формула[править]
- Заметим, что длина дуги астроиды M0M от вершины равна Lx = 3R1/3x2/3/2.
Вывод формулы[править]
1-ый способ[править]
- Для вывода используется формула длина дуги плоской кривой для функции в прямоугольных координатах.
2-ой способ[править]
- Для вывода используется формула длина дуги плоской кривой для функции, заданной параметрически, причём 0 < t1 < t2 < π/2.
Другие формулы[править]
Литература[править]
- Выгодский М. Я. Справочник по высшей математике. М.: Наука, 1964, стр.814.