Длина дуги эпициклоиды
Длина дуги эпициклоиды — это число, характеризующее протяжённость дуги эпициклоиды в единицах измерения длины.
Эпициклоида — это линия, описываемая точкой окружности (производящая), когда последняя катится без скольжения по (вне) неподвижной окружности (направляющая).
Рассмотрим дуги эпициклоиды при 0 ≤ t ≤ 2π.
Обозначения[править]
x1 — абсцисса первой точки дуги;
y1 — ордината первой точки дуги;
t1 — параметр (меньший) первой точки дуги;
x2 — абсцисса второй точки дуги;
y2 — ордината второй точки дуги;
t2 — параметр (больший) второй точки дуги;
R — радиус направляющей окружности;
r — радиус производящей окружности;
t — параметрическая переменная;
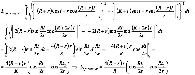
x = (R + r)cost − rcos[(R + r)t/r] — параметрическое уравнение абсциссы эпициклоиды;
y = (R + r)sint − rsin[(R + r)t/r] — параметрическое уравнение ординаты эпициклоиды;
Lдуг.эпицик — длина дуги эпициклоиды.
Формула[править]
- Заметим, что кардиоида является эпициклоидой.
Вывод формулы[править]
- Для вывода используется формула длина дуги плоской кривой для функции, заданной параметрически.
Другие формулы[править]
Литература[править]
- Выгодский М. Я. Справочник по высшей математике. М.: Наука, 1964, стр.805.