Коэффициент взаимной сопряжённости
Перейти к навигации
Перейти к поиску
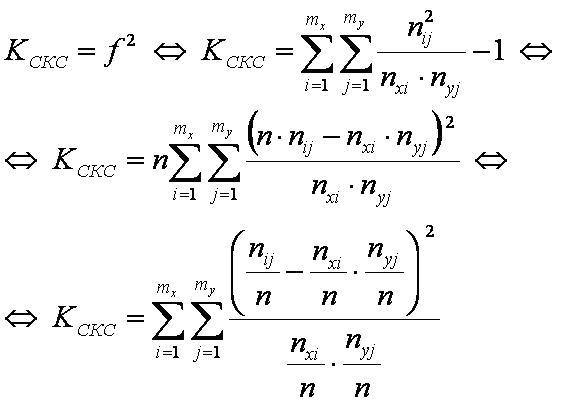
Коэффициент взаимной сопряжённости (средняя квадратическая сопряжённость, статистика f2) — число от 0 до min{mx,my}-1, характеризующее тесноту стохастической связи случайных величин.
Определяется через частоты в корреляционной таблице.
Обозначения:[править]
- n — число пар двумерной случайной величины (x,y) в корреляционной таблице;
- mx — число групп случайной величины x;
- my — число групп случайной величины y;
- nxi — частота появления случайной величины x в i-ой группе;
- nyj — частота появления случайной величины y в j-ой группе;
- nij — частота появления пары случайных величин (x,y) в (i,j)-ой клетке корреляционной таблицы;
- f2 — статистика, причём nf2 сходится по вероятности к Хи2 с (mx-1)(my-1) степенями свободы;
- KСКС — коэффициент взаимной сопряжённости — средняя квадратическая сопряжённость.
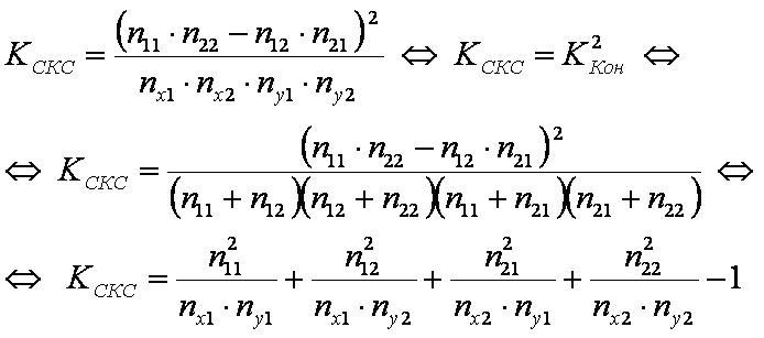
Формула[править]
где
- mx=my=2
- Kкон — коэффициент контингенции.
Другие коэффициенты:[править]
- коэффициент вариации;
- линейный коэффициент вариации;
- коэффициент ковариации;
- коэффициент осцилляции;
- коэффициент парной корреляции;
- коэффициент множественной корреляции;
- коэффициент уравнения линейной регрессии;
- коэффициент уравнения множественной регрессии;
- коэффициент ранговой корреляции Спирмена;
- коэффициент ранговой корреляции Кендалла;
- коэффициент корреляции Фехнера;
- коэффициент детерминации;
- коэффициент конкордации Кендалла;
- коэффициент ассоциации;
- коэффициент контингенции;
- коэффициент взаимной сопряжённости;
- коэффициент взаимной сопряжённости Пирсона;
- коэффициент взаимной сопряжённости Чупрова;
- коэффициент дифференциации;
- коэффициент Гатева;
- коэффициент Салаи;
- коэффициент Рябцева.
Литература[править]
- Корн Г., Корн Т. Справочник по математике для научных работников и инженеров. М.: Лань, 2003, стр.642.