Коэффициент уравнения линейной регрессии
Перейти к навигации
Перейти к поиску
Коэффициент линейной регрессии — коэффициент линейного уравнения регрессии с одной независимой переменной.
Обозначения[править]
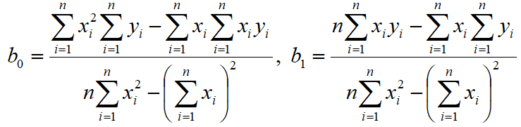
- n — число значений в выборке;
- — коэффициенты уравнения линейной регрессии;
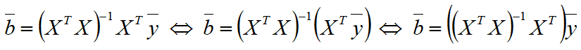
- — линейное уравнение регрессии;
— матрица значений независимой переменной в выборке;
— значения зависимой переменной.
Формула[править]
- Для проверки значимости коэффициента линейной регрессии используется гипотеза о коэффициенте линейного уравнения регрессии равном нулю.
Другие коэффициенты[править]
- коэффициент вариации;
- линейный коэффициент вариации;
- коэффициент ковариации;
- коэффициент осцилляции;
- коэффициент парной корреляции;
- коэффициент множественной корреляции;
- коэффициент уравнения линейной регрессии;
- коэффициент уравнения множественной регрессии;
- коэффициент ранговой корреляции Спирмена;
- коэффициент ранговой корреляции Кендалла;
- коэффициент корреляции Фехнера;
- коэффициент детерминации;
- коэффициент конкордации Кендалла;
- коэффициент ассоциации;
- коэффициент контингенции;
- коэффициент взаимной сопряжённости;
- коэффициент взаимной сопряжённости Пирсона;
- коэффициент взаимной сопряжённости Чупрова;
- коэффициент дифференциации;
- коэффициент Гатева;
- коэффициент Салаи;
- коэффициент Рябцева.
Ссылки[править]
- Википедия. Регрессионный анализ.
- Участник:Logic-samara

