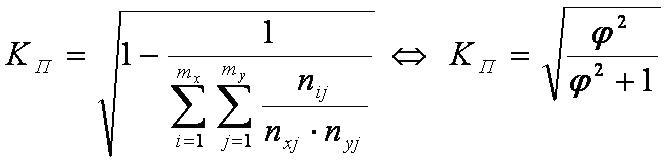
Коэффициент взаимной сопряжённости Пирсона
Перейти к навигации
Перейти к поиску
Коэффициент взаимной сопряжённости Пирсона — это некоторое число от 0 до 1, характеризующее тесноту стохастической связи случайных величин и определяемое через частоты в корреляционной таблице.
Обозначения:[править]
mx — число групп случайной величины x;
my — число групп случайной величины y;
nxi — частота появления случайной величины x в i-ой группе;
nyj — частота появления случайной величины y в j-ой группе;
nij — частота появления пары случайных величин (x,y) в (i,j)-ой клетке корреляционной таблицы;
φ2 — показатель взаимной сопряжённости;
KП — коэффициент взаимной сопряжённости Пирсона.
Формула[править]
где
Другие коэффициенты:[править]
- коэффициент вариации;
- линейный коэффициент вариации;
- коэффициент ковариации;
- коэффициент осцилляции;
- коэффициент парной корреляции;
- коэффициент множественной корреляции;
- коэффициент уравнения линейной регрессии;
- коэффициент уравнения множественной регрессии;
- коэффициент ранговой корреляции Спирмена;
- коэффициент ранговой корреляции Кендалла;
- коэффициент корреляции Фехнера;
- коэффициент детерминации;
- коэффициент конкордации Кендалла;
- коэффициент ассоциации;
- коэффициент контингенции;
- коэффициент взаимной сопряжённости;
- коэффициент взаимной сопряжённости Пирсона;
- коэффициент взаимной сопряжённости Чупрова;
- коэффициент дифференциации;
- коэффициент Гатева;
- коэффициент Салаи;
- коэффициент Рябцева.