Непрерывное равномерное распределение
Перейти к навигации
Перейти к поиску
Равномерное распределение — распределение непрерывной случайной величины на отрезке с постоянной плотностью распределения вероятности.
Обозначения[править]
- — случайная величина;
- — нижняя граница отрезка;
- — верхняя граница отрезка;
- — коэффициент масштаба, ;
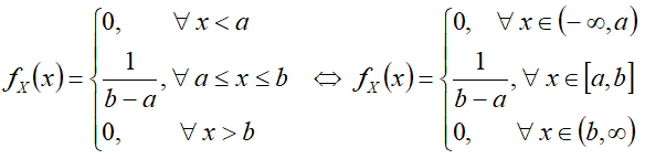
- — дифференциальная функция распределения — функция плотности вероятности;
- — интегральная функция распределения — функция вероятности ;
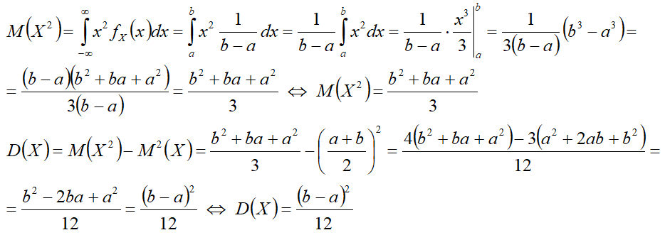
- — средняя — математическое ожидание;
- — дисперсия;
- — среднеквадратическое отклонение;
- — медиана;
- Невозможно разобрать выражение (SVG с запасным PNG (MathML можно включить с помощью плагина для браузера): Недопустимый ответ («Math extension cannot connect to Restbase.») от сервера «https://wikimedia.org/api/rest_v1/»:): {\displaystyle Mo(X)} — мода;
- — коэффициент асимметрии;
- — коэффициент эксцесса.
Функции распределения[править]
Дифференциальная функция[править]
Формулы[править]
График[править]
Интегральная функция[править]
Формулы[править]
График[править]
Характеристики[править]
Вывод формул[править]
Математическое ожидание[править]
Дисперсия[править]
1-й способ[править]
2-й способ[править]
Другие распределения[править]
- Распределения дискретной случайной величины:
- Распределения непрерывной случайной величины:
- Бета-распределение;
- распределение Вейбулла;
- Гамма-распределение;
- распределение Гаусса;
- квадратичное распределение;
- распределение Коши;
- распределение Лапласа;
- линейное распределение;
- логистическое распределение;
- логнормальное распределение;
- нормальное распределение;
- распределение Парето;
- показательное распределение;
- непрерывное равномерное распределение;
- распределение Рэлея;
- распределение Сосновского;
- распределение Стьюдента;
- Ти-распределение;
- распределение Фишера-Снедекора;
- распределение Хи-квадрат;
- экспоненциальное распределение;
- Эл-распределение;
- Эф-распределение.
Литература[править]
- Справочник по математике для экономистов. Под ред. проф. В.И.Ермакова. М.: Высшая школа, 1987, стр.298.
Ссылки[править]
| Вероятностные распределения | ||
|---|---|---|
| Одномерные | Многомерные | |
| Дискретные: | Бернулли | Биномиальное | Геометрическое | Гипергеометрическое | Логарифмическое | Отрицательное биномиальное | Пуассона | Дискретное равномерное | Мультиномиальное |
| Абсолютно непрерывные: | Бета | Вейбулла | Гамма- | Гиперэкспоненциальное | Гомпертца | Колмогорова | Коши | Лапласа | Логнормальное | Нормальное (Гаусса) | Логистическое | Накагами | Парето | Пирсона | Полукруговое | Непрерывное равномерное | Райса | Рэлея | Стьюдента | Трейси — Видома | Фишера | Хи-квадрат | Экспоненциальное | Variance-gamma | Многомерное нормальное | Копула |








