Распределение Фишера-Снедекора
(перенаправлено с «Эф-распределение»)
Перейти к навигации
Перейти к поиску
Распределение Фишера-Снедекора (F-распределение) — распределение непрерывной случайной величины, определяемой отношением двух независимых случайных величин, имеющих распределение Хи-квадрат, делённому на отношение соответствующих степеней свободы.
Предложено Фишером и Снедерором.
Обозначения[править]
- — -ая -ая независимая случайная величина, имеющая распределение Хи-квадрат с степенями свободы, ;
- — случайная величина, равная отношению , делённому на отношение ;
- — параметр распределения — число степеней свободы, ;
- — гамма-функция;
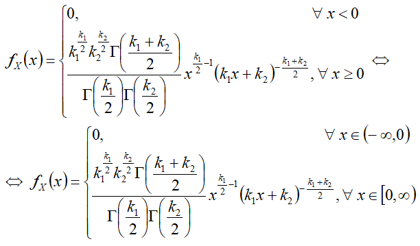
- — дифференциальная функция распределения — функция плотности вероятности;
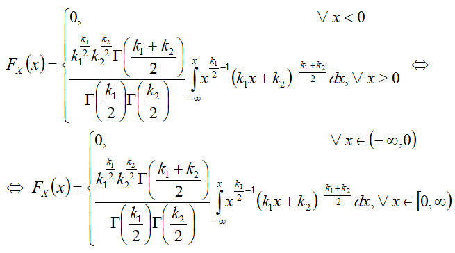
- — интегральная функция распределения — функция вероятности ;
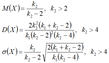
- — средняя — математическое ожидание;
- — дисперсия;
- — среднеквадратическое отклонение;
- — медиана;
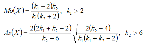
- — мода;
- — коэффициент асимметрии;
- — коэффициент эксцесса.
Функции распределения:[править]
Дифференциальная функция[править]
Формулы[править]
Графики[править]
Интегральная функция[править]
Формулы[править]
Графики[править]
Характеристики[править]
Другие распределения[править]
- Распределения дискретной случайной величины:
- Распределения непрерывной случайной величины:
- Бета-распределение;
- распределение Вейбулла;
- Гамма-распределение;
- распределение Гаусса;
- квадратичное распределение;
- распределение Коши;
- распределение Лапласа;
- линейное распределение;
- логистическое распределение;
- логнормальное распределение;
- нормальное распределение;
- распределение Парето;
- показательное распределение;
- непрерывное равномерное распределение;
- распределение Рэлея;
- распределение Сосновского;
- распределение Стьюдента;
- Ти-распределение;
- распределение Фишера-Снедекора;
- распределение Хи-квадрат;
- экспоненциальное распределение;
- Эл-распределение;
- Эф-распределение.
Литература[править]
- Корн Г., Корн Т. Справочник по математике для научных работников и инженеров. М.: Наука, 1970, стр.550.
Ссылки[править]
| Файл:Bvn-small.png | Вероятностные распределения | |
|---|---|---|
| Одномерные | Многомерные | |
| Дискретные: | Бернулли | Биномиальное | Геометрическое | Гипергеометрическое | Логарифмическое | Отрицательное биномиальное | Пуассона | Дискретное равномерное | Мультиномиальное |
| Абсолютно непрерывные: | Бета | Вейбулла | Гамма- | Гиперэкспоненциальное | Гомпертца | Колмогорова | Коши | Лапласа | Логнормальное | Нормальное (Гаусса) | Логистическое | Накагами | Парето | Пирсона | Полукруговое | Непрерывное равномерное | Райса | Рэлея | Стьюдента | Трейси — Видома | Фишера | Хи-квадрат | Экспоненциальное | Variance-gamma | Многомерное нормальное | Копула |





