Распределение Пуассона
Перейти к навигации
Перейти к поиску
Распределение Пуассона — распределение дискретной случайной величины, равной числу независимых событий, происходящих с фиксированной интенсивностью λ.
В функциях распределения Пуассона есть экспонента e-λ.
Вероятности распределения Пуассона пропорциональны членам ряда Маклорена для функции ex при x>0:
Обозначения[править]
- X — случайная величина, равная числу независимых событий, происходящих с фиксированной интенсивностью;
- λ — параметр распределения — интенсивность наступления событий, λ>0;
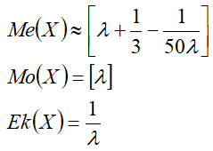
- [λ] — целая часть числа λ;
- N — множество натуральных чисел;
- N0 — множество натуральных чисел и нуля;
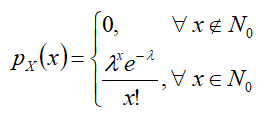
- pX(x) — функция вероятности P(X=x);
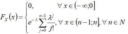
- FX(x) — интегральная функция распределения — функция вероятности P(X<x);
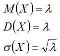
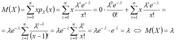
- M(X) — средняя — математическое ожидание;
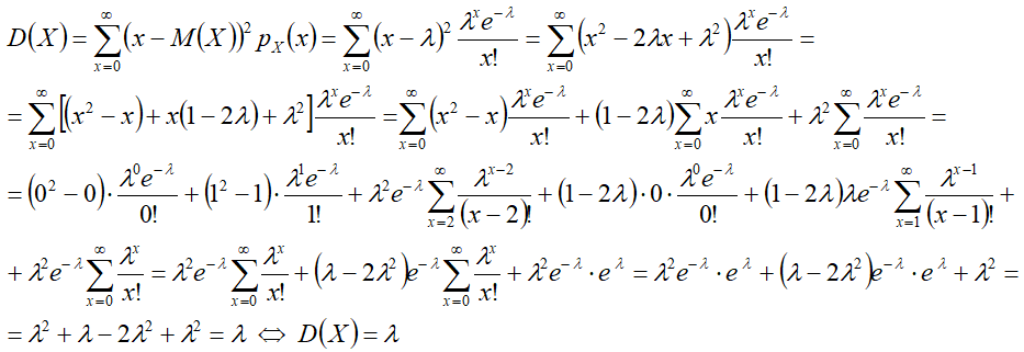
- D(X) — дисперсия;
- σ(X) — среднеквадратическое отклонение;
- Me(X) — медиана;
- Mo(X) — мода;
- Ek(X) — коэффициент эксцесса.
Функции распределения:[править]
Функция вероятности[править]
Формулы[править]
График[править]
Интегральная функция[править]
Формулы[править]
График[править]
Характеристики[править]
Вывод формул[править]
Математическое ожидание[править]
Дисперсия[править]
Другие распределения[править]
- Распределения дискретной случайной величины:
- Распределения непрерывной случайной величины:
- Бета-распределение;
- распределение Вейбулла;
- Гамма-распределение;
- распределение Гаусса;
- квадратичное распределение;
- распределение Коши;
- распределение Лапласа;
- линейное распределение;
- логистическое распределение;
- логнормальное распределение;
- нормальное распределение;
- распределение Парето;
- показательное распределение;
- непрерывное равномерное распределение;
- распределение Рэлея;
- распределение Сосновского;
- распределение Стьюдента;
- Ти-распределение;
- распределение Фишера-Снедекора;
- распределение Хи-квадрат;
- экспоненциальное распределение;
- Эл-распределение;
- Эф-распределение.
Литература[править]
- Корн Г., Корн Т. Справочник по математике для научных работников и инженеров. М.: Наука, 1970, стр.512.
Ссылки[править]
| Файл:Bvn-small.png | Вероятностные распределения | |
|---|---|---|
| Одномерные | Многомерные | |
| Дискретные: | Бернулли | Биномиальное | Геометрическое | Гипергеометрическое | Логарифмическое | Отрицательное биномиальное | Пуассона | Дискретное равномерное | Мультиномиальное |
| Абсолютно непрерывные: | Бета | Вейбулла | Гамма- | Гиперэкспоненциальное | Гомпертца | Колмогорова | Коши | Лапласа | Логнормальное | Нормальное (Гаусса) | Логистическое | Накагами | Парето | Пирсона | Полукруговое | Непрерывное равномерное | Райса | Рэлея | Стьюдента | Трейси — Видома | Фишера | Хи-квадрат | Экспоненциальное | Variance-gamma | Многомерное нормальное | Копула |







