Метод преобразований Лапласа для решения системы дифференциальных уравнений

Материал из Циклопедии
Перейти к навигации Перейти к поиску

Метод преобразований Лапласа — способ решения системы дифференциальных уравнений с помощью преобразований Лапласа.

Метод решения системы дифференциальных уравнений[править]

Описание метода[править]

Суть метода преобразований Лапласа состоит в следующем:

1) перевод с помощью преобразований Лапласа системы дифференциальных уравнений (в пространство изображений) в систему алгебраических уравнений;

2) решение системы алгебраических уравнений (для линейных - методом Крамера) и разложение решений на простые выражения (для дробно-рациональных выражений - методом неопределённых коэффициентов);

3) обратный перевод с помощью обратных преобразований Лапласа решения системы алгебраических уравнений в решение системы дифференциальных уравнений.

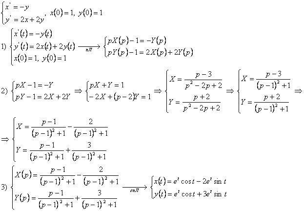
Система двух дифференциальных уравнений:[править]

Пример 1[править]

МПЛ21.JPG

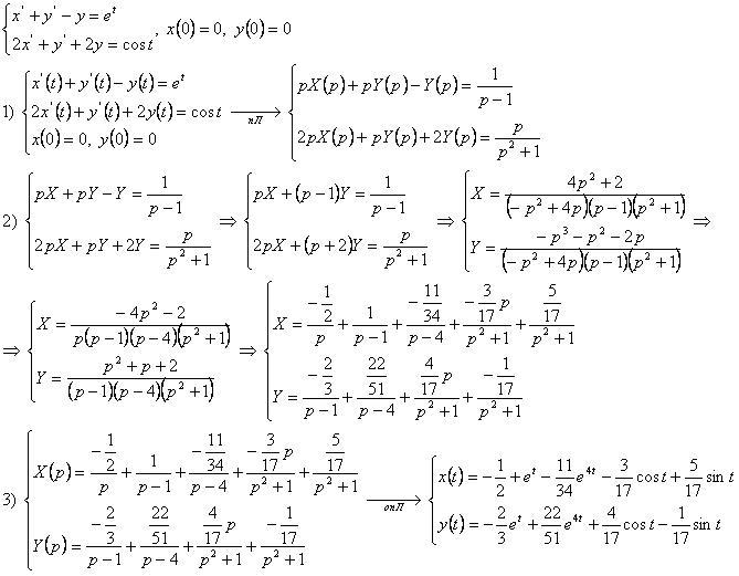
Пример 2[править]

МПЛ22.JPG

Система трёх дифференциальных уравнений[править]

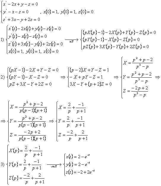
Пример 1[править]

МПЛ31.JPG

Пример 2[править]

МПЛ32.JPG

Другие системы:[править]


Другие понятия:[править]


Литература[править]

  • Корн Г., Корн Т. Справочник по математике для научных работников и инженеров. М.: Наука, 1970, стр. 273.

Ссылки[править]