Плоскость, равноудалённая от двух прямых
Перейти к навигации
Перейти к поиску
Плоскость, равноудалённая от двух прямых — плоскость, параллельная этим прямым и проходящая через середину перпендикуляра к этим прямым.
Обозначения[править]
- — радиус-вектор точки плоскости;
- — радиус-вектор середины перпендикуляра;
- — радиус-вектор точки первой прямой;
- — радиус-вектор точки второй прямой;
- — направляющий вектор первой прямой;
- — направляющий вектор второй прямой.
Уравнения плоскости[править]
Векторная форма[править]
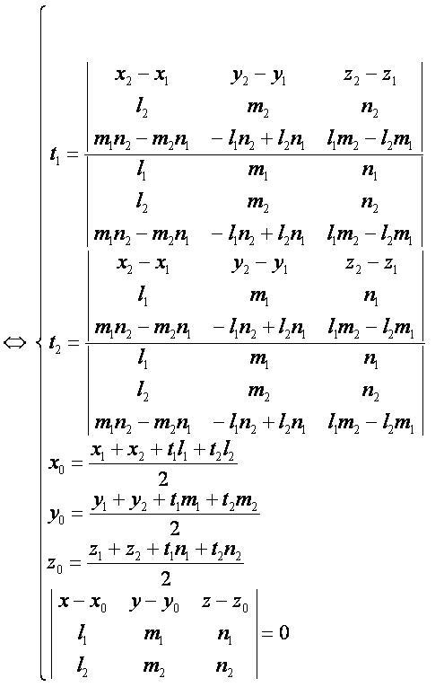
Координатная форма[править]
Формулы верны только для скрещивающихся прямых.
Другие уравнения:[править]
- общее;
- нормальное;
- в отрезках;
- параметрическое;
- проходящей через три точки;
- равноудалённой от двух точек;
- равноудалённой от двух прямых;
- проходящей через две точки параллельно прямой;
- проходящей через две точки перпендикулярно плоскости;
- проходящей через точку и прямую;
- проходящей через точку перпендикулярно прямой;
- проходящей через точку параллельно плоскости;
- проходящей через точку параллельно двум прямым;
- проходящей через точку перпендикулярно двум плоскостям;
- проходящей через прямую параллельно прямой;
- проходящей через прямую перпендикулярно плоскости.