Объём торового клина
Объём торового клина — это объём, пропорциональный величине центрального двугранного угла, части объёма тора.
Под торовым клином будем подразумевать наименьшую часть тора, вырезаемую центральным двугранным углом из тора. Торовый клин является изогнутым цилиндром.
Обозначения[править]
R — радиус окружности вращения образующей окружности тора;
r — радиус образующей окружности тора;
R2 — внешний радиус тора;
R1 — внутренний радиус тора;
D — диаметр окружности вращения образующей окружности тора;
d — диаметр образующей окружности тора;
D2 — внешний диаметр тора;
D1 — внутренний диаметр тора;
φ — центральный двугранный угол;
Sбок.тк — площадь боковой поверхности;
Sосн.тк — площадь одного основания;
Vтк — объём торового клина, ограниченный тором и двугранным углом.
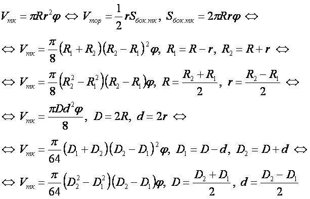
Формула[править]
- Заметим, что при φ=π/2 объём торового клина совпадает с четвертью объёма тора.
Другие фигуры:[править]
- фигура вращения;
- шар;
- цилиндр;
- конус;
- усечённый цилиндр;
- усечённый конус;
- шаровой сегмент;
- шаровой сектор;
- шаровой слой;
- шаровой клин;
- центральный шаровой клин;
- торовый клин;
- цилиндрическая труба;
- цилиндрическое копыто;
- конусное копыто;
- шаровое копыто;
- параболоидное копыто;
- шаровая бочка;
- круговая бочка;
- параболическая бочка;
- сегментное кольцо;
- тор;
- кокон;
- купол;
- сфероид;
- параболоид вращения.