Объём круговой бочки
Перейти к навигации
Перейти к поиску
Объём круговой бочки — это объём бочки, ограниченной равными основаниями и образованной вращением вокруг вертикальной оси бочки дуги окружности с центром на горизонтальной оси вне вертикальной оси бочки.
Обозначения[править]
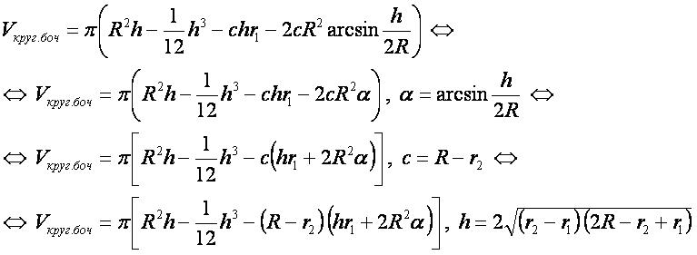
R — радиус образующей дуги окружности;
с — расстояние от центра образующей дуги окружности до вертикальной оси бочки;
h — высота бочки;
α — угол между горизонтальной осью бочки и радиусом образующей дуги окружности, соединяющим центр с вeрхним краем бочки;
r1 — радиус оснований бочки;
r2 — радиус срединной окружности бочки;
Vкруг.боч — объём круговой бочки.
Формула[править]
- Заметим, что когда расстояние от центра образующей дуги окружности до вертикальной оси бочки стремится к нулю, тогда формула объёма круговой бочки превращается в формулу объёма шаровой бочки.
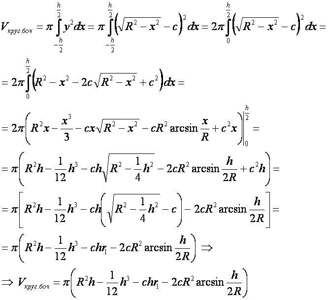
Вывод формулы[править]
См. также[править]
Другие формулы[править]
- фигура вращения;
- шар;
- цилиндр;
- конус;
- усечённый цилиндр;
- усечённый конус;
- шаровой сегмент;
- шаровой сектор;
- шаровой слой;
- шаровой клин;
- центральный шаровой клин;
- торовый клин;
- цилиндрическая труба;
- цилиндрическое копыто;
- конусное копыто;
- шаровое копыто;
- параболоидное копыто;
- шаровая бочка;
- круговая бочка;
- параболическая бочка;
- сегментное кольцо;
- тор;
- кокон;
- купол;
- сфероид;
- параболоид вращения.