Объём шарового копыта
Перейти к навигации
Перейти к поиску
Объём шарового копыта — это половина объёма соответствующего шарового сегмента.
Шаровое копыто — это меньшая часть полушара, отсеченная вертикальной плоскостью. Шаровое копыто можно называть отрезком полушара.
Обозначения[править]
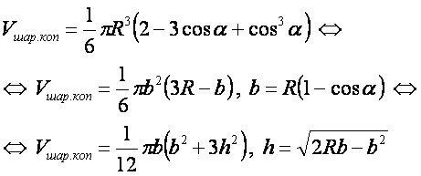
R — радиус полушара;
h — высота шарового копыта;
b — высота сегмента основания;
α — угол между радиусом основания, соединяющим центр основания полушара и край линии сечения, и горизонтальной осью (проходящей через центры основания и линии сечения);
Vшар.коп — объём шарового копыта.
Формула[править]
- Заметим, что объём шарового копыта равен половине объёма соответствующего шарового сегмента.
- Заметим, что при α=π/2 шаровое копыто превращается в соответствующий центральный шаровой клин, объёмом в четверть объёма шара.
Вывод формулы[править]
- Для вывода используется формула "объём трёхмерной фигуры" в прямоугольных координатах.
Другие фигуры:[править]
- фигура вращения;
- шар;
- цилиндр;
- конус;
- усечённый цилиндр;
- усечённый конус;
- шаровой сегмент;
- шаровой сектор;
- шаровой слой;
- шаровой клин;
- центральный шаровой клин;
- торовый клин;
- цилиндрическая труба;
- цилиндрическое копыто;
- конусное копыто;
- шаровое копыто;
- параболоидное копыто;
- шаровая бочка;
- круговая бочка;
- параболическая бочка;
- сегментное кольцо;
- тор;
- кокон;
- купол;
- сфероид;
- параболоид вращения.