Объём параболоида вращения
Перейти к навигации
Перейти к поиску
Объём параболоида вращения — число, характеризующее объём, ограниченный параболоидом и плоскостью (перпендикулярной оси симметрии), в единицах измерения объёма.
Параболоид вращения — поверхность, образующаяся при вращении параболы вокруг её оси симметрии.
Обозначения[править]
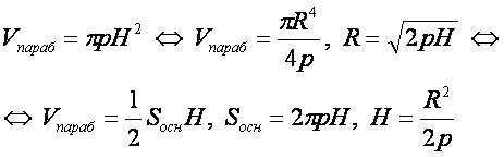
H — высота параболоида вращения;
R — радиус верхнего основания;
p — фокальный параметр;
y2=2px — каноническое уравнение параболы;
2px=y2+z2 — уравнение параболоида вращения;
Sосн — площадь основания радиуса R;
Vпараб — объём параболоида вращения c высотой H.
Формула[править]
- Формула объёма параболоида вращения является частным случаем формулы объёма эллиптического параболоида.
Вывод формулы[править]
- Для вывода используется формула 1 "объём фигуры вращения".
Другие фигуры:[править]
- фигура вращения;
- шар;
- цилиндр;
- конус;
- усечённый цилиндр;
- усечённый конус;
- шаровой сегмент;
- шаровой сектор;
- шаровой слой;
- шаровой клин;
- центральный шаровой клин;
- торовый клин;
- цилиндрическая труба;
- цилиндрическое копыто;
- конусное копыто;
- шаровое копыто;
- параболоидное копыто;
- шаровая бочка;
- круговая бочка;
- параболическая бочка;
- сегментное кольцо;
- тор;
- кокон;
- купол;
- сфероид;
- параболоид вращения.