Объём цилиндра
Перейти к навигации
Перейти к поиску
Объём цилиндра — число, характеризующее цилиндр в единицах измерения объёма.
Обозначения[править]
R — радиус основания цилиндра;
D — диаметр основания цилиндра;
h — высота цилиндра;
Sосн — площадь основания цилиндра;
Vцил — объём цилиндра.
Формула[править]
- Невозможно разобрать выражение (Ошибка преобразования. Сервер («https://wikimedia.org/api/rest_») сообщил: «Cannot get mml. Server problem.»): {\displaystyle V_{\text{цил}}=\pi R^{2}h\Leftrightarrow V_{\text{цил}}=hS_{\text{осн}},\ S_{\text{осн}}=\pi R^{2}\Leftrightarrow V_{\text{цил}}={\frac {1}{4}}\pi D^{2}h,\ D=2R}
Вывод формулы[править]
1-й способ[править]
- Для вывода используется формула «объём фигуры вращения».
2-й способ[править]
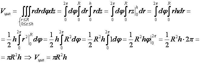
- Для вывода используется формула «объём трёхмерной фигуры» в цилиндрических координатах.
См. также[править]
Другие формулы[править]
- фигура вращения;
- шар;
- цилиндр;
- конус;
- усечённый цилиндр;
- усечённый конус;
- шаровой сегмент;
- шаровой сектор;
- шаровой слой;
- шаровой клин;
- центральный шаровой клин;
- торовый клин;
- цилиндрическая труба;
- цилиндрическое копыто;
- конусное копыто;
- шаровое копыто;
- параболоидное копыто;
- шаровая бочка;
- круговая бочка;
- параболическая бочка;
- сегментное кольцо;
- тор;
- кокон;
- купол;
- сфероид;
- параболоид вращения.
Литература[править]
- Бронштейн И. Н., Семендяев К. А., Справочник по математике. М., 1956, стр.175.