Объём сфероида
Объём сфероида — число, характеризующее сфероид в единицах измерения объёма.
Сфероид — это тело, ограниченное эллипсоидом вращения.
Эллипсоид вращения — это поверхность в трёхмерном пространстве, образованная вращением эллипса вокруг одной из его осей.
Виды сфероидов:[править]
- вытянутый;
- сплюснутый;
- нормальный.
Вытянутый сфероид ограничен вытянутым эллипсоидом вращения.
Вытянутый эллипсоид вращения — это геометрическое место точек пространства, для которых сумма расстояний до двух заданных точек (фокусов) постоянна (равна большой оси). Вытянутый эллипсоид вращения получается вращением эллипса вокруг большой оси. У вытянутого эллипсоида вращения одна большая ось и две малые оси.
Сплюснутый сфероид ограничен сплюснутым эллипсоидом вращения.
Сплюснутый эллипсоид вращения — это геометрическое место точек пространства, для которых сумма расстояний до ближайшей и до наиболее удалённой точки заданной окружности постоянна (равна малой оси). Сплюснутый эллипсоид вращения получается вращением эллипса вокруг малой оси. У сплюснутого эллипсоида вращения две большие оси и одна малая ось.
Нормальный сфероид — это шар (ограничен сферой).
Обозначения[править]
a — большая полуось;
b — малая полуось;
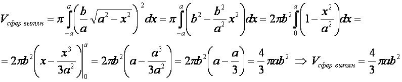
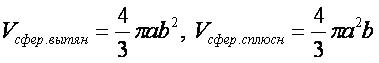
Vсфер.вытян — объём вытянутого сфероида.
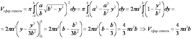
Vсфер.сплюсн — объём сплюснутого сфероида.
Формулы[править]
Вывод формул[править]
Объём вытянутого сфероида[править]
1-й способ[править]
- Для вывода используется формула 1 «объём фигуры вращения».
2-й способ[править]
- Для вывода используется формула «объём трёхмерной фигуры» в прямоугольных координатах.
- Для нахождения интеграла используется «метод замены переменных» и переход к сферическим координатам.
Объём сплюснутого сфероида[править]
1-й способ[править]
- Для вывода используется формула 2 «объём фигуры вращения».
2-й способ[править]
- Для вывода используется формула «объём трёхмерной фигуры» в прямоугольных координатах.
- Для нахождения интеграла используется «метод замены переменных» и переход к сферическим координатам.
Другие формулы[править]
- фигура вращения;
- шар;
- цилиндр;
- конус;
- усечённый цилиндр;
- усечённый конус;
- шаровой сегмент;
- шаровой сектор;
- шаровой слой;
- шаровой клин;
- центральный шаровой клин;
- торовый клин;
- цилиндрическая труба;
- цилиндрическое копыто;
- конусное копыто;
- шаровое копыто;
- параболоидное копыто;
- шаровая бочка;
- круговая бочка;
- параболическая бочка;
- сегментное кольцо;
- тор;
- кокон;
- купол;
- сфероид;
- параболоид вращения.