Площадь сегмента параболы
Перейти к навигации
Перейти к поиску
Площадь сегмента параболы — это число, характеризующее сегмент параболы в единицах измерения площади.
Сегмент параболы — это конечная фигура, отсекаемая прямой от параболы.
Виды сегментов[править]
- перпендикулярный оси параболы;
- отсекаемый от одной ветви параболы;
- отсекаемый от двух ветвей параболы.
Обозначения[править]
Введём обозначения:
x1 — абсцисса первой крайней точки сегмента;
y1 — ордината первой крайней точки сегмента;
x2 — абсцисса второй крайней точки сегмента;
y2 — ордината второй крайней точки сегмента;
y2=2px — каноническое уравнение параболы;
Sпрям — площадь прямоугольника;
Sтрап — площадь трапеции;
Sтреуг — площадь треугольника;
Sсегм.пар — площадь сегмента параболы.
Формулы[править]
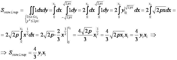
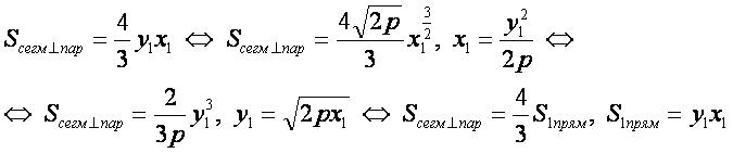
Площадь сегмента, перпендикулярного оси параболы[править]
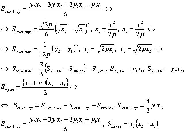
Площадь сегмента, отсекаемого от одной ветви параболы[править]
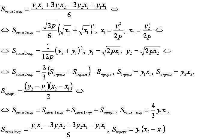
Площадь сегмента, отсекаемого от двух ветвей параболы[править]
Вывод формул[править]
Площадь сегмента, перпендикулярного оси параболы[править]
- Для вывода используется формула «площадь плоской фигуры» в прямоугольных координатах.
Площадь сегмента, отсекаемого от одной ветви параболы[править]
- Для вывода используется формула «площадь плоской фигуры» в прямоугольных координатах.
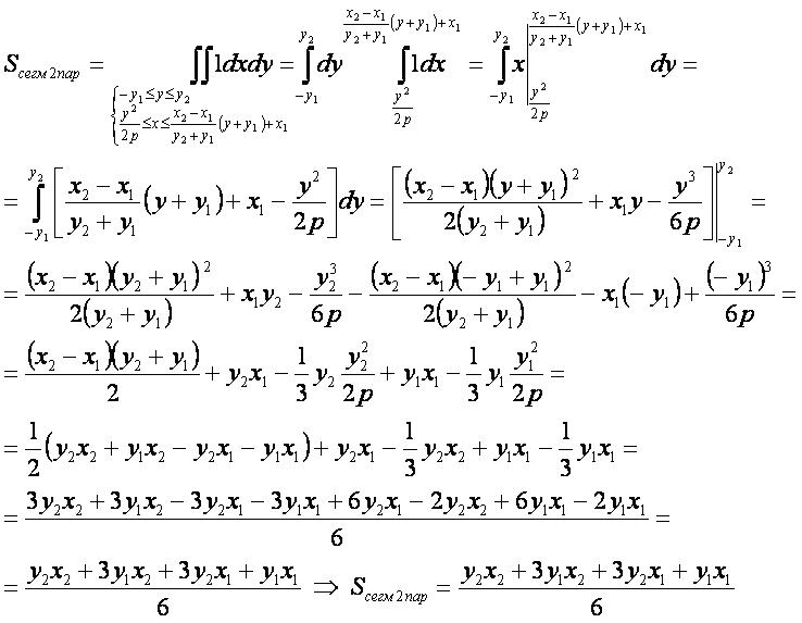
Площадь сегмента, отсекаемого от двух ветвей параболы[править]
- Для вывода используется формула «площадь плоской фигуры» в прямоугольных координатах.
См. также[править]
Другие формулы[править]
- треугольник;
- четырёхугольник;
- круг;
- сегмент круга;
- сектор круга;
- серп;
- эллипс;
- сегмент эллипса;
- сектор эллипса;
- серп эллипса;
- сегмент параболы;
- сегмент гиперболы;
- сектор кардиоиды;
- сектор лемнискаты Бернулли;
- правильный многоугольник;
- сегмент правильного многоугольника;
- сектор правильного многоугольника;
- арка циклоиды;
- сектор кардиоиды;
- сектор лемнискаты Бернулли.
- арка синусоиды;
- арка косинусоиды;
- фигура, ограниченная тангенсоидой и осью абсцисс;
- фигура, ограниченная котангенсоидой и осью абсцисс;
- треугольник Рёло;
- пятиугольник Рёло;
- многоугольник Рёло;
- общая плоская фигура.