Площадь сектора эллипса
Площадь сектора эллипса — это число, характеризующее сектор эллипса в единицах измерения площади.
Сектор эллипса — это часть эллипса, отсекаемая двумя прямыми (радиусами), проходящими через центр симметрии.
Рассмотрим (меньшие) секторы эллипса, отсекаемые двумя прямыми, проходящими через центр симметрии и симметричными относительно осей эллипса.
Обозначения[править]
Введём обозначения:
a — большая полуось эллипса;
b — малая полуось эллипса;
h — высота сегмента;
x0 — абсцисса крайней точки сектора;
y0 — ордината крайней точки сектора;
r0 — расстояние (крайний радиус) от центра эллипса до крайней точки сектора;
α — угол между осью симметрии сектора и радиусом крайней точки сектора;
Sсект.элл — площадь сектора эллипса.
Формулы[править]
Площадь сектора, симметричного относительно большой оси эллипса[править]
Площадь сектора, симметричного относительно малой оси эллипса[править]
Вывод формул[править]
Площадь сектора, симметричного относительно большой оси эллипса[править]
1-й способ[править]
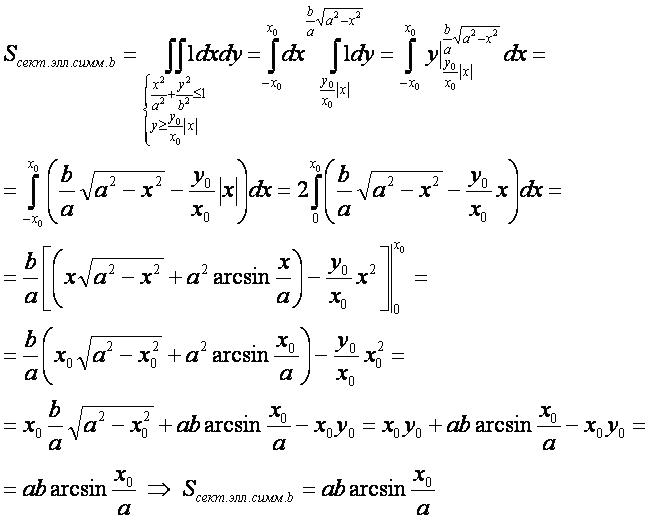
- Для вывода используется формула «площадь плоской фигуры» в прямоугольных координатах.
- Для нахождения интеграла используется формула 3 «интегралы функций с корнями».
2-й способ[править]
- Для вывода используется формула «площадь плоской фигуры» в прямоугольных координатах.
- Для нахождения интеграла используется «метод замены переменных» и переход к
полярным координатам.
Площадь сектора, симметричного относительно малой оси эллипса[править]
1-й способ[править]
- Для вывода используется формула «площадь плоской фигуры» в прямоугольных координатах.
- Для нахождения интеграла используется формула 3 «интегралы функций с корнями».
2-й способ[править]
- Для вывода используется формула «площадь плоской фигуры» в прямоугольных координатах.
- Для нахождения интеграла используется «метод замены переменных» и переход к
полярным координатам.
Площадь сектора[править]
Рассмотрим секторы эллипса, отсекаемые двумя произвольными прямыми, проходящими через центр симметрии.
Площадь сектора равна алгебраической сумме площадей соответствующих полусекторов (с соответствующим знаком).
См. также[править]
Другие формулы[править]
- треугольник;
- четырёхугольник;
- круг;
- сегмент круга;
- сектор круга;
- серп;
- эллипс;
- сегмент эллипса;
- сектор эллипса;
- серп эллипса;
- сегмент параболы;
- сегмент гиперболы;
- сектор кардиоиды;
- сектор лемнискаты Бернулли;
- правильный многоугольник;
- сегмент правильного многоугольника;
- сектор правильного многоугольника;
- арка циклоиды;
- сектор кардиоиды;
- сектор лемнискаты Бернулли.
- арка синусоиды;
- арка косинусоиды;
- фигура, ограниченная тангенсоидой и осью абсцисс;
- фигура, ограниченная котангенсоидой и осью абсцисс;
- треугольник Рёло;
- пятиугольник Рёло;
- многоугольник Рёло;
- общая плоская фигура.