Площадь сегмента эллипса
Площадь сегмента эллипса — это число, характеризующее сегмент эллипса в единицах измерения площади.
Сегмент эллипса — это часть эллипса, отсекаемая прямой.
Рассмотрим (меньшие) сегменты эллипса, отсекаемые прямой перпендикулярной одной из осей эллипса.
Обозначения[править]
Введём обозначения:
a — большая полуось эллипса;
b — малая полуось эллипса;
h — высота сегмента;
x0 — абсцисса крайней точки сегмента;
y0 — ордината крайней точки сегмента;
r0 — расстояние (крайний радиус) от центра эллипса до крайней точки сегмента;
α — угол между осью симметрии сегмента и радиусом крайней точки сегмента;
Sсегм.элл — площадь сегмента эллипса.
Формулы[править]
Площадь сегмента, перпендикулярного большой оси эллипса[править]
Площадь сегмента, перпендикулярного малой оси эллипса[править]
Вывод формул[править]
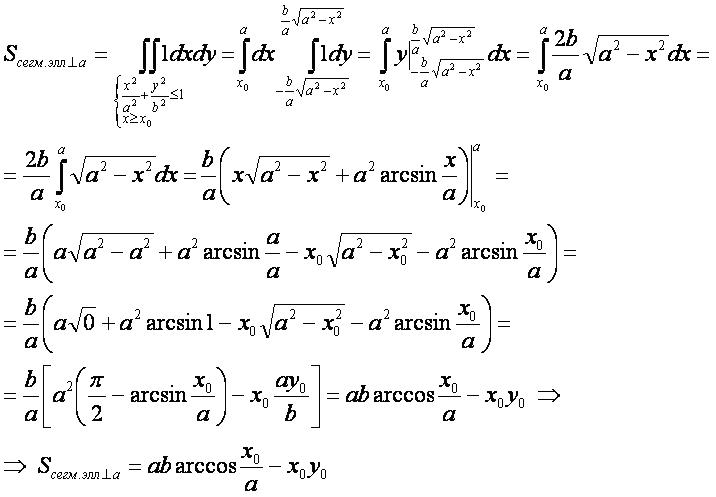
Площадь сегмента, перпендикулярного большой оси эллипса[править]
1-й способ[править]
- Для вывода используется формула «площадь плоской фигуры» в прямоугольных координатах.
- Для нахождения интеграла используется формула 3 «интегралы функций с корнями».
2-й способ[править]
- Для вывода используется формула «площадь плоской фигуры» в прямоугольных координатах.
- Для нахождения интеграла используется «метод замены переменных» и переход к
полярным координатам.
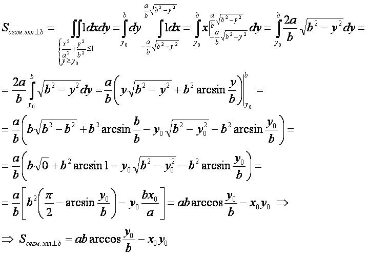
Площадь сегмента, перпендикулярного малой оси эллипса[править]
1-й способ[править]
- Для вывода используется формула «площадь плоской фигуры» в прямоугольных координатах.
- Для нахождения интеграла используется формула 3 «интегралы функций с корнями».
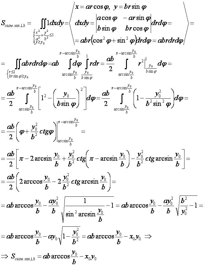
2-й способ[править]
- Для вывода используется формула «площадь плоской фигуры» в прямоугольных координатах.
- Для нахождения интеграла используется «метод замены переменных» и переход к
полярным координатам.
Площадь сегмента[править]
Площадь меньшего сегмента равна разности площадей соответствующего сектора и треугольника (дополняющего сегмент до сектора).
Площадь большего сегмента равна сумме площадей соответствующего сектора и треугольника (дополняющего сектор до сегмента).
Сумма площадей меньшего и большего сегментов равна площади эллипса.
См. также[править]
Другие формулы[править]
- треугольник;
- четырёхугольник;
- круг;
- сегмент круга;
- сектор круга;
- серп;
- эллипс;
- сегмент эллипса;
- сектор эллипса;
- серп эллипса;
- сегмент параболы;
- сегмент гиперболы;
- сектор кардиоиды;
- сектор лемнискаты Бернулли;
- правильный многоугольник;
- сегмент правильного многоугольника;
- сектор правильного многоугольника;
- арка циклоиды;
- сектор кардиоиды;
- сектор лемнискаты Бернулли.
- арка синусоиды;
- арка косинусоиды;
- фигура, ограниченная тангенсоидой и осью абсцисс;
- фигура, ограниченная котангенсоидой и осью абсцисс;
- треугольник Рёло;
- пятиугольник Рёло;
- многоугольник Рёло;
- общая плоская фигура.