Площадь арки косинусоиды
Перейти к навигации
Перейти к поиску
Площадь арки косинусоиды — это число, характеризующее арку (или часть арки) косинусоиды в единицах измерения площади.
Арка (полуволна) косинусоды — это область, ограниченная косинусоидой и осью абсцисс при −π/2 ≤ x ≤ π/2.
Обозначения[править]
Введём обозначения:
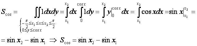
x1 — абсцисса первой (меньшей) точки;
x2 — абсцисса второй (большей) точки;
y = cosx — уравнение косинусоиды;
Scos — площадь арки (или части арки) косинусоиды.
Формула[править]
- Площадь полной (от −π/2 до π/2) арки косинусоиды равна Sарк.cos = 2.
Вывод формулы[править]
- Для вывода используется формула «площадь плоской фигуры» в прямоугольных координатах.
См. также[править]
Другие формулы[править]
- треугольник;
- четырёхугольник;
- круг;
- сегмент круга;
- сектор круга;
- серп;
- эллипс;
- сегмент эллипса;
- сектор эллипса;
- серп эллипса;
- сегмент параболы;
- сегмент гиперболы;
- сектор кардиоиды;
- сектор лемнискаты Бернулли;
- правильный многоугольник;
- сегмент правильного многоугольника;
- сектор правильного многоугольника;
- арка циклоиды;
- сектор кардиоиды;
- сектор лемнискаты Бернулли.
- арка синусоиды;
- арка косинусоиды;
- фигура, ограниченная тангенсоидой и осью абсцисс;
- фигура, ограниченная котангенсоидой и осью абсцисс;
- треугольник Рёло;
- пятиугольник Рёло;
- многоугольник Рёло;
- общая плоская фигура.